Free Access
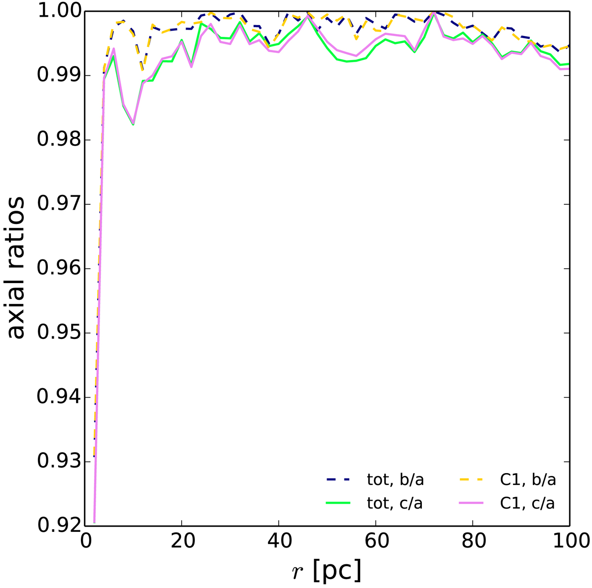
Fig. 10.

Final axial ratios for the C1 including the particles stripped from CS3 (green solid and blue dashed lines) or excluding them (magenta solid and yellow dashed lines).
Current usage metrics show cumulative count of Article Views (full-text article views including HTML views, PDF and ePub downloads, according to the available data) and Abstracts Views on Vision4Press platform.
Data correspond to usage on the plateform after 2015. The current usage metrics is available 48-96 hours after online publication and is updated daily on week days.
Initial download of the metrics may take a while.