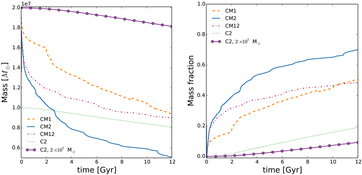
Fig. 4.

Mass lost by the GCs during and after the merger. The orange dashed line is for CM1, the blue solid line is for CM2, and the purple dot-dashed line is for CM12. The green dotted line and the purple solid line with bullets are for the non-interacting C2-like clusters with 107 M⊙ and 2 × 107 M⊙, respectively, moving on the orbit of CM2. The mass loss is large in the case of CM2, intermediate for CM1 and CM12, and low for the non-interacting clusters.
Current usage metrics show cumulative count of Article Views (full-text article views including HTML views, PDF and ePub downloads, according to the available data) and Abstracts Views on Vision4Press platform.
Data correspond to usage on the plateform after 2015. The current usage metrics is available 48-96 hours after online publication and is updated daily on week days.
Initial download of the metrics may take a while.