Free Access
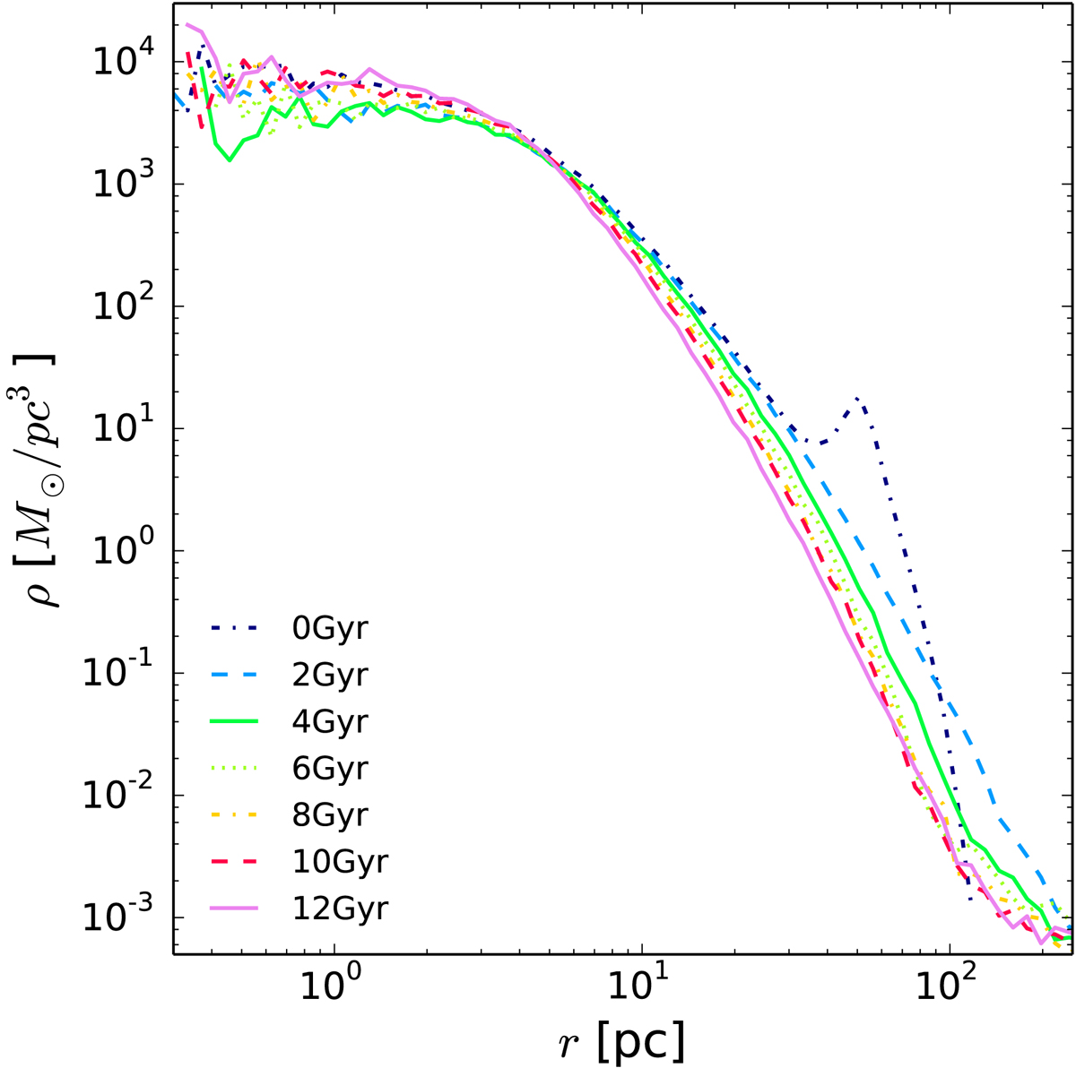
Fig. 6.

Density evolution with time for CM2. This cluster results from the merger of two C2 clusters. The two populations quickly mix and show the same density immediately after the first phases of the merger. The density is shown at the beginning of the simulation and after 2, 4, 6, 8, 10 and 12 Gyr.
Current usage metrics show cumulative count of Article Views (full-text article views including HTML views, PDF and ePub downloads, according to the available data) and Abstracts Views on Vision4Press platform.
Data correspond to usage on the plateform after 2015. The current usage metrics is available 48-96 hours after online publication and is updated daily on week days.
Initial download of the metrics may take a while.