Free Access
Fig. 9.

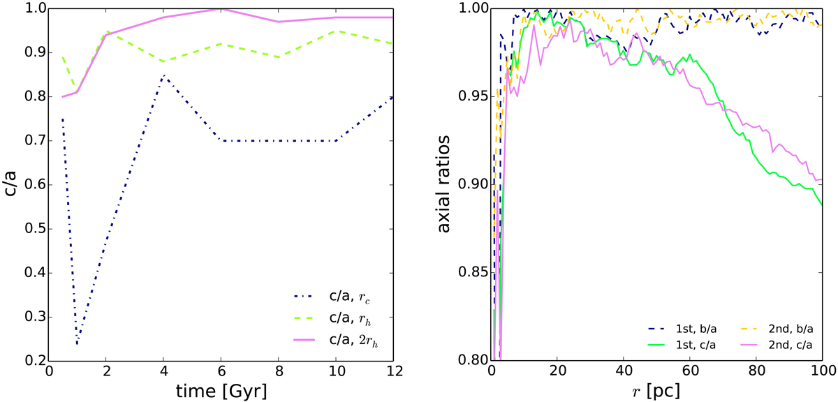
Axial ratio c/a evolution with time for CM2 at different radii (left panel). The axial ratios for the two stellar components coming from the progenitors that form CM2 (right panel).
Current usage metrics show cumulative count of Article Views (full-text article views including HTML views, PDF and ePub downloads, according to the available data) and Abstracts Views on Vision4Press platform.
Data correspond to usage on the plateform after 2015. The current usage metrics is available 48-96 hours after online publication and is updated daily on week days.
Initial download of the metrics may take a while.