Free Access
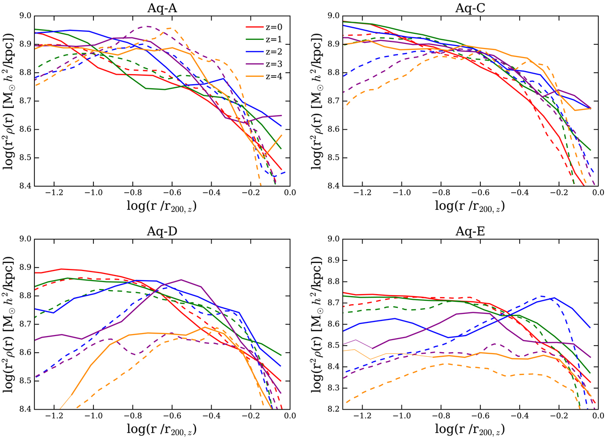
Fig. 3.

Dark matter density profiles at redshift z = 0, 1, 2, 3 and 4 for SPH (filled lines) and DMO (dashed lines) simulations. For SPH haloes, thin lines show the bins that contain less than 2000 particles. The radius range presented is in agreement with the convergence criteria of Power et al. (2003).
Current usage metrics show cumulative count of Article Views (full-text article views including HTML views, PDF and ePub downloads, according to the available data) and Abstracts Views on Vision4Press platform.
Data correspond to usage on the plateform after 2015. The current usage metrics is available 48-96 hours after online publication and is updated daily on week days.
Initial download of the metrics may take a while.