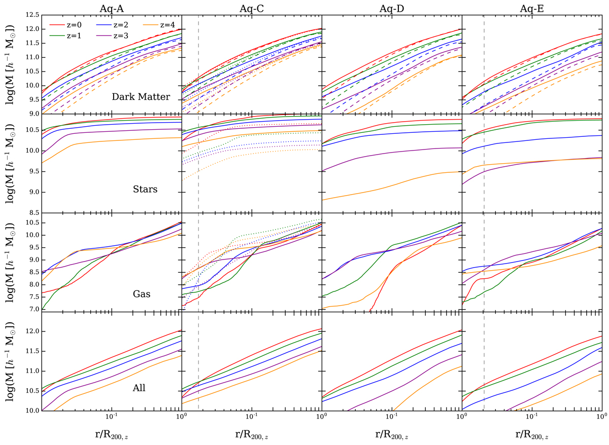
Fig. 7.

Cumulative mass distribution as a function of distance to the centre, and normalised by the virial radius of each redshift, R200, z for the four haloes studied in the hydro run (filled lines). We also show the results from Aq-C-M14 (dotted lines in Aq-C panel). The grey dashed lines represent three times the gravitational softening in Aq-C-SPH and Aq-E-SPH at z = 0, while in Aq-A-SPH and Aq-D-SPH this value is below the range we show in this figure.
Current usage metrics show cumulative count of Article Views (full-text article views including HTML views, PDF and ePub downloads, according to the available data) and Abstracts Views on Vision4Press platform.
Data correspond to usage on the plateform after 2015. The current usage metrics is available 48-96 hours after online publication and is updated daily on week days.
Initial download of the metrics may take a while.