Free Access
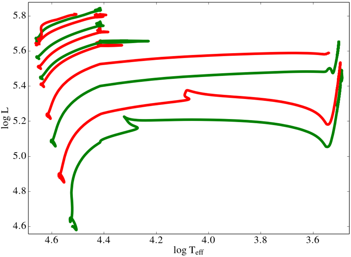
Fig. 12.

Rotating models with αov = 0.5 and a factor of 1.5 Ṁ, highlighting the post-MS evolution to the red for log L up to 5.8, but above this limit remaining in the blue at TAMS.
Current usage metrics show cumulative count of Article Views (full-text article views including HTML views, PDF and ePub downloads, according to the available data) and Abstracts Views on Vision4Press platform.
Data correspond to usage on the plateform after 2015. The current usage metrics is available 48-96 hours after online publication and is updated daily on week days.
Initial download of the metrics may take a while.