Free Access
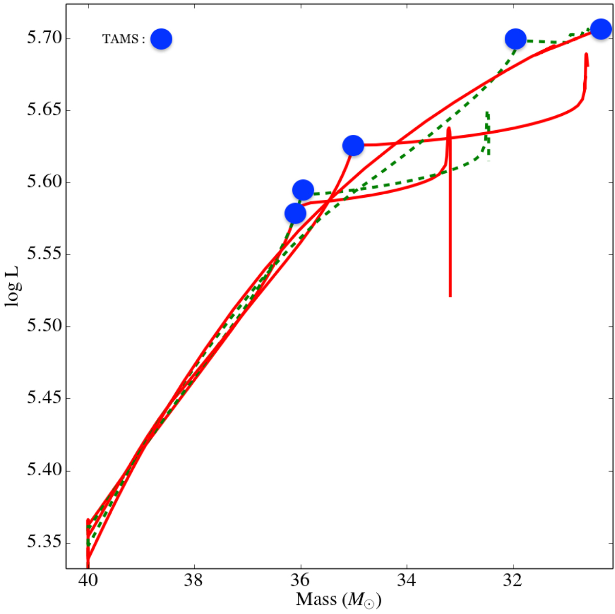
Fig. 6.

Evolution of a 40 M⊙ model with a factor of unity of the mass-loss prescription and αov = 0.1 shown for a variety of initial rotation rates from 100–500 km s−1. The length of the M−L vector at a given evolutionary stage can be extended via increased rotation as shown by the blue dots corresponding to TAMS for each model.
Current usage metrics show cumulative count of Article Views (full-text article views including HTML views, PDF and ePub downloads, according to the available data) and Abstracts Views on Vision4Press platform.
Data correspond to usage on the plateform after 2015. The current usage metrics is available 48-96 hours after online publication and is updated daily on week days.
Initial download of the metrics may take a while.