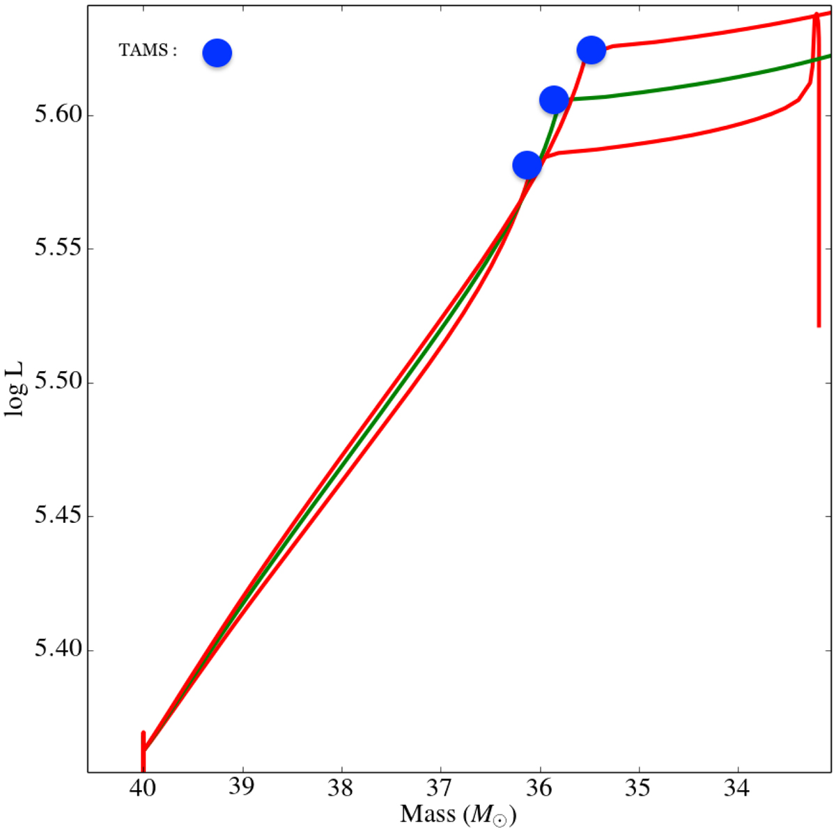
Fig. 7.

Evolution of a 40 M⊙ model with an initial rotation rate of 100 km s−1 and a factor of unity for the mass-loss prescription shown for a variety of overshooting αov = 0.1, 0.3, 0.5. The blue dots correspond to TAMS for each model, demonstrating the increase in luminosity or decrease in mass for an increase in overshooting of αov = 0.1 − 0.5. This illustrates the possible further extension of a vector in this plane by extending αov.
Current usage metrics show cumulative count of Article Views (full-text article views including HTML views, PDF and ePub downloads, according to the available data) and Abstracts Views on Vision4Press platform.
Data correspond to usage on the plateform after 2015. The current usage metrics is available 48-96 hours after online publication and is updated daily on week days.
Initial download of the metrics may take a while.