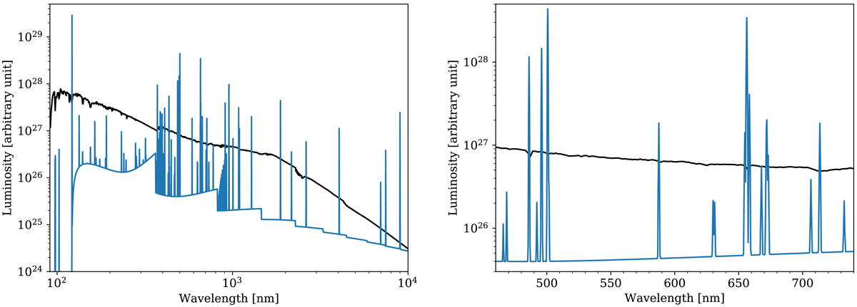
Fig. 3.

Left panel: nebular (blue) and stellar (black) FUV to NIR spectra. In total 124 lines from H II regions are taken into account. The nebular continuum takes into account free-free, free-bound, and two-photon processes. The lines are modelled from an improved version of the CLOUDY templates computed in Inoue (2011). Here the electron density is set to 100 cm−3, the metallicity Z = 0.02, and the ionisation parameter logU = −2. Both fesc and fdust are set to 0. The stellar emission is computed with the sfh2exp (t1 = 13000 Myr, τ1 = 7000 Myr, t2 = 25 Myr, τ2 = 50 Myr, and f = 0.1) and bc03 (Salpeter 1955; IMF and Z = 0.02) modules. Right panel: zoom in the 460 nm–740 nm range. At this scale we can see the line width due to gas motions. Here the line width is set to 300 km s−1.
Current usage metrics show cumulative count of Article Views (full-text article views including HTML views, PDF and ePub downloads, according to the available data) and Abstracts Views on Vision4Press platform.
Data correspond to usage on the plateform after 2015. The current usage metrics is available 48-96 hours after online publication and is updated daily on week days.
Initial download of the metrics may take a while.