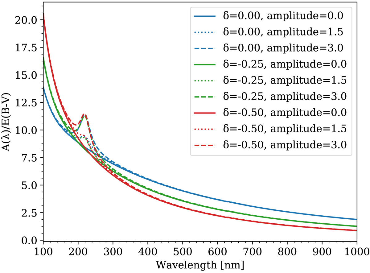
Fig. 4.

Three stellar attenuation curves generated by the dustatt_modified_starburst module of CIGALE. Based on the Calzetti et al. (2000) attenuation law, the red, green, and blue lines correspond to a power-law modification with indices δ of 0.00, −0.25, and −0.50. In addition, a 220 nm bump has been added with three different amplitudes: 0 (dotted), 1.5 (solid), and 3 (dashed). The difference in the normalisation comes from the fact that E(B − V) is kept constant after multiplying the starburst law (case δ = 0) by a power law.
Current usage metrics show cumulative count of Article Views (full-text article views including HTML views, PDF and ePub downloads, according to the available data) and Abstracts Views on Vision4Press platform.
Data correspond to usage on the plateform after 2015. The current usage metrics is available 48-96 hours after online publication and is updated daily on week days.
Initial download of the metrics may take a while.