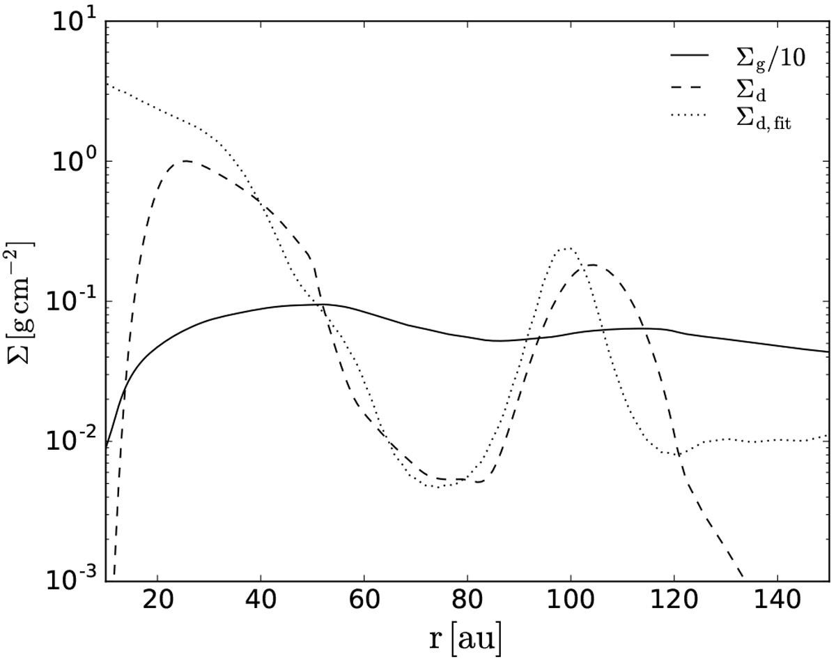
Fig. 8

Azimuthally averaged dust (dashed) and gas (solid) surface density for our best disk hosting a planet with an initial mass of 1.25 MJ after 50 orbits, initially located at 85 au from the central star. The gas surface density is scaled down by a factor of 10 at the end of the simulation, for a direct comparison with the dust phase. The dotted line indicates the surfacedensity profile of large dust grains inferred from the radiative transfer analysis (bottom panel of Fig. 3). After 50 orbits (measured at 85 au), the planet is at 78.4 au from the central star and its mass is 2.3 MJ.
Current usage metrics show cumulative count of Article Views (full-text article views including HTML views, PDF and ePub downloads, according to the available data) and Abstracts Views on Vision4Press platform.
Data correspond to usage on the plateform after 2015. The current usage metrics is available 48-96 hours after online publication and is updated daily on week days.
Initial download of the metrics may take a while.