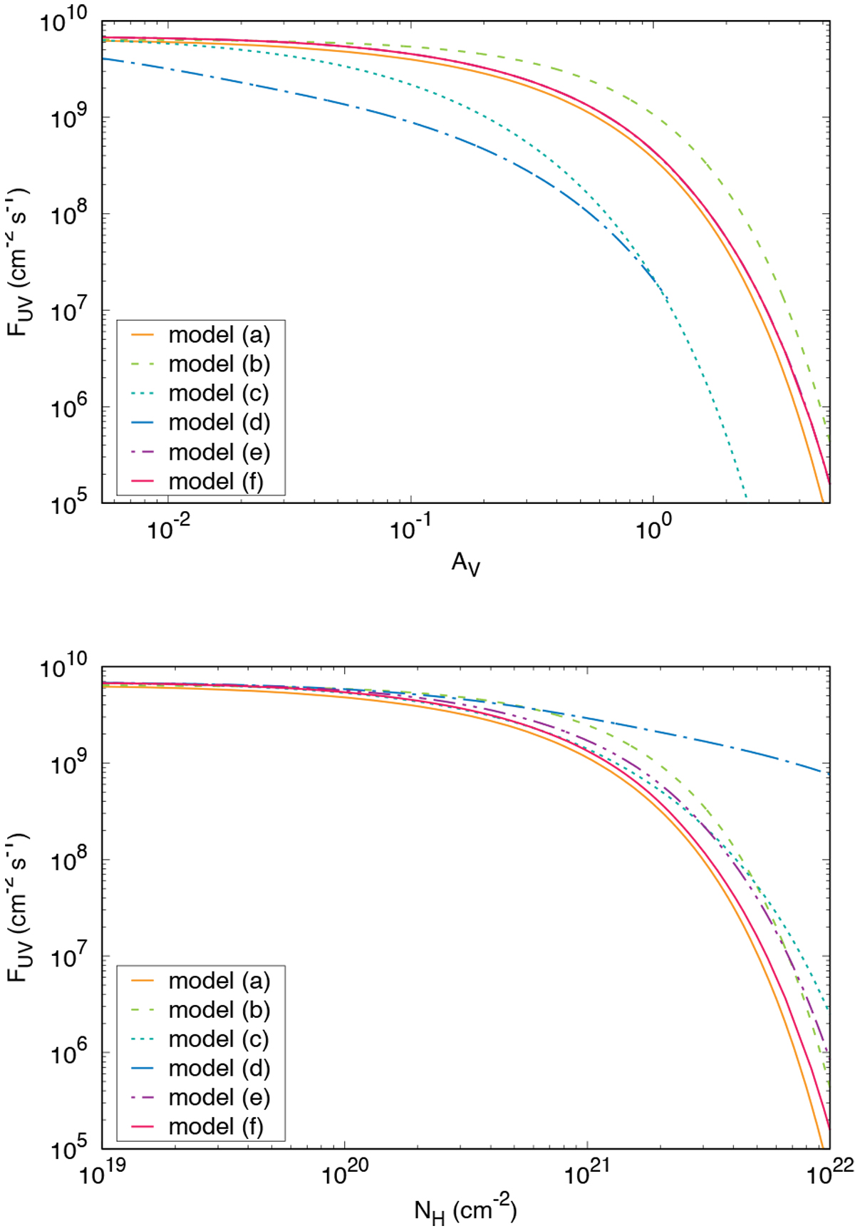
Fig. B.1

Ultraviolet photon flux (integrated from 911 to 2400 Å) as a function of the total hydrogen column density (bottom panel) and the visual extinction (top panel) calculated with the Meudon PDR code (a), by Tielens & Hollenbach (1985; b), and with the Paris-Durham shock model set in advection mode (c–f) for an isochoric gas of density nH = 104 cm−3 with an incident radiation field G0 = 102. The predictions of the Paris-Durham model are shown for pure graphite grains with a size distribution defined by Table A.1 (standard model, labelled c), for silicate grains with the same size distribution (d), graphite grains with a minimal radius set to 3 × 10−6 cm (e), and graphite grains with a minimal radius set to 3 × 10−6 cm where the grain absorption coefficients are scaled to impose a NH∕AV ratio of 1.87 × 1021 cm−2 (f).
Current usage metrics show cumulative count of Article Views (full-text article views including HTML views, PDF and ePub downloads, according to the available data) and Abstracts Views on Vision4Press platform.
Data correspond to usage on the plateform after 2015. The current usage metrics is available 48-96 hours after online publication and is updated daily on week days.
Initial download of the metrics may take a while.