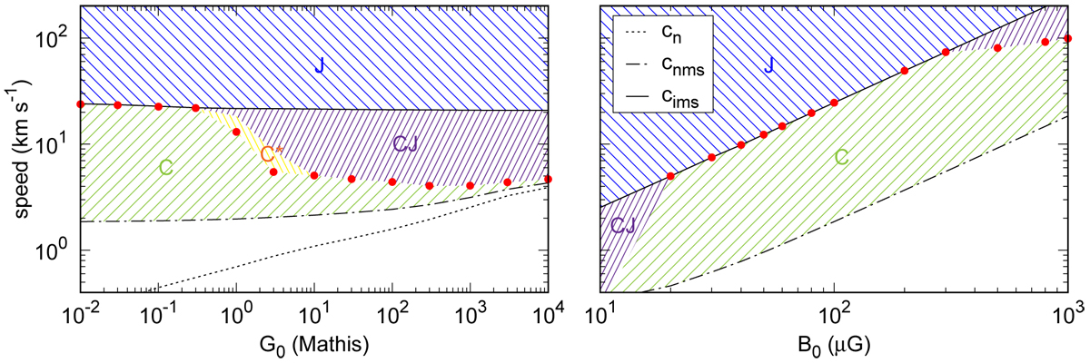
Fig. D.1

Neutral sound speed (dotted) and neutral (dot-dashed) and ion (solid) magnetosonic speeds as functions of the UV radiation field in a medium of density
nH = 102
cm−3 and a visible extinction
(upper left), and as functions of the transverse magnetic field intensity in a medium of density
nH = 104
cm−3 and
G0 = 0 (upper right). All other parameters are set to their standard values (see Table 1). The critical velocities above which C-type shocks cannot exist are shown with red points, while coloured areas highlight the range of velocities at which C- (green), C*- (yellow), CJ- (violet), and J-type (blue) shocks develop.
Current usage metrics show cumulative count of Article Views (full-text article views including HTML views, PDF and ePub downloads, according to the available data) and Abstracts Views on Vision4Press platform.
Data correspond to usage on the plateform after 2015. The current usage metrics is available 48-96 hours after online publication and is updated daily on week days.
Initial download of the metrics may take a while.