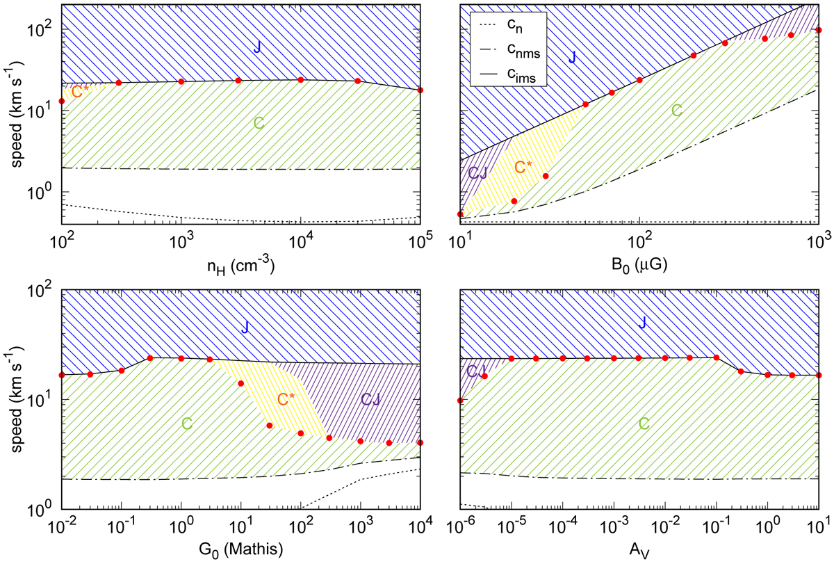
Fig. 3

Neutral sound speed (dotted) and neutral (dot-dashed) and ion (solid) magnetosonic speeds as functions of the density (upper left panel), transverse magnetic field intensity (upper right panel), UV radiation field intensity (lower left panel), and visual extinction (lower right panel). All the non-varying parameters are set to their standard values (see Table 1), and the standard value of the buffer visual extinction is set to
. The critical velocities above which C-type shocks cannot exist are shown with red points, while coloured areas highlight the range of velocities at which C- (green), C*- (yellow), CJ- (violet), and J-type (blue) shocks develop.
Current usage metrics show cumulative count of Article Views (full-text article views including HTML views, PDF and ePub downloads, according to the available data) and Abstracts Views on Vision4Press platform.
Data correspond to usage on the plateform after 2015. The current usage metrics is available 48-96 hours after online publication and is updated daily on week days.
Initial download of the metrics may take a while.