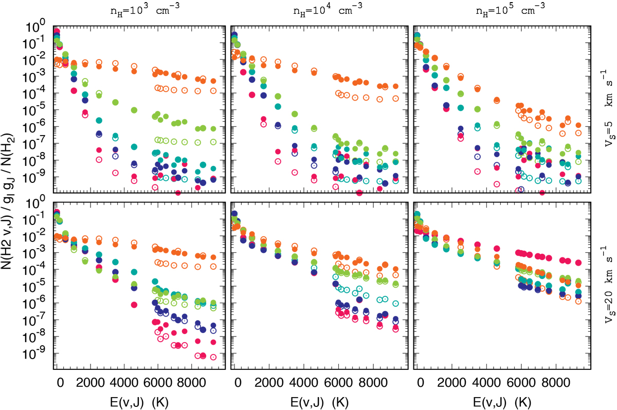
Fig. 8

H2 excitation diagrams normalized to the column density of H2 obtained for shocks propagating at 5 (top panels) and 20 (bottom panels) km s−1 in media with densities varying between 103
(left panels) and 105
(right panels) cm−3, a scaling factor of the UV radiation field of 1 (red), 10 (dark blue), 102
(light blue), 103
(green), and 104
(orange), and a buffer visual extinction . All non-varying parameters are set to their standard values (see Table 1). To estimate the effect of the UV pumping of the rovibrational levels of
H2, the models have been run with (filled circles) and without (dotted circles) this process. We note that only pure rotational levels exist below 5987 K. Above this limit, both pure rotational and rovibrational levels exist.
Current usage metrics show cumulative count of Article Views (full-text article views including HTML views, PDF and ePub downloads, according to the available data) and Abstracts Views on Vision4Press platform.
Data correspond to usage on the plateform after 2015. The current usage metrics is available 48-96 hours after online publication and is updated daily on week days.
Initial download of the metrics may take a while.