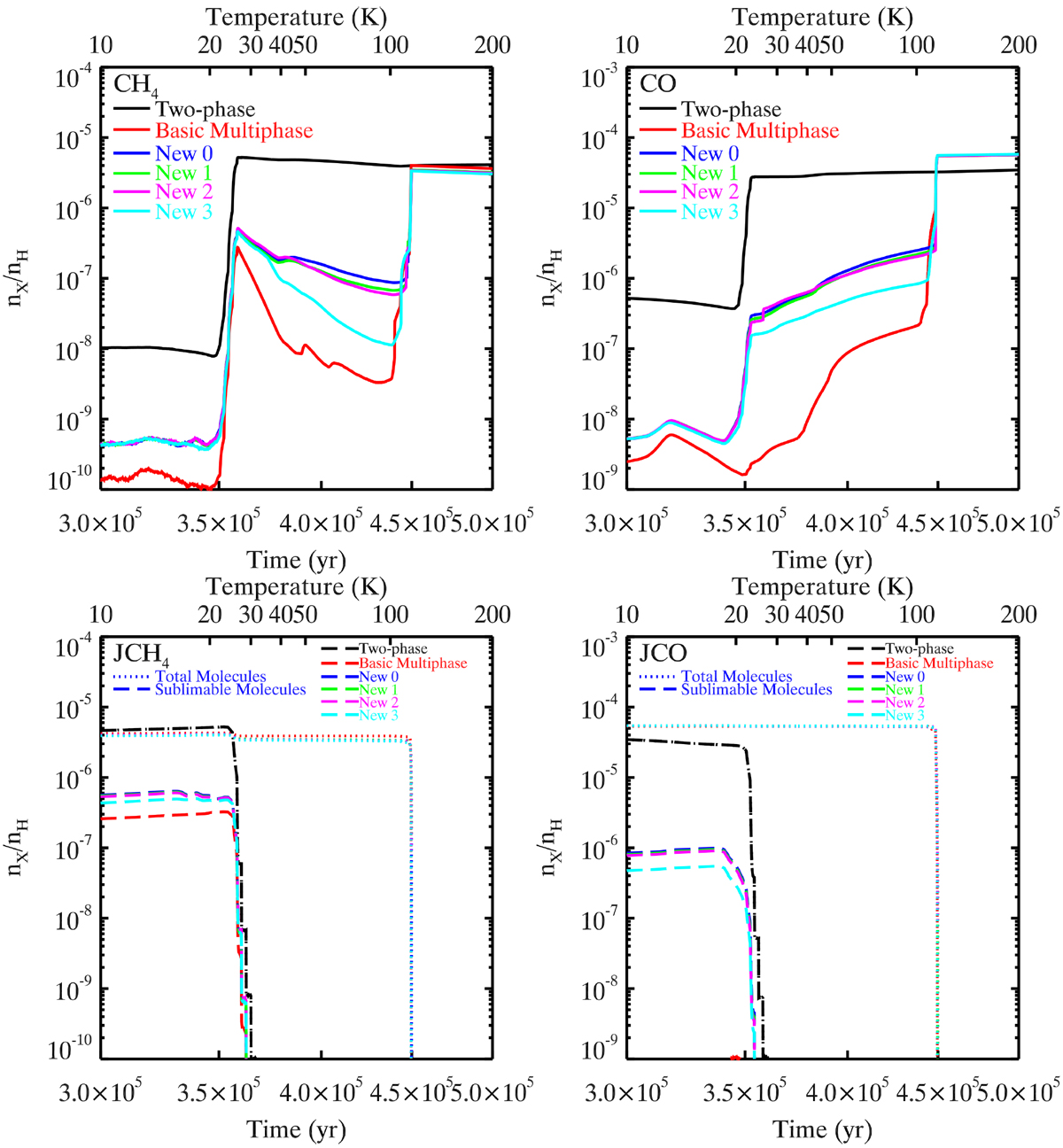
Fig. 2.

Temporal evolution of the fractional abundances of CH4, CO, total JCH4, sublimable JCH4, total JCO, and sublimable JCO in all models. The letter J represents species on the grain. The temperature is labelled on the top horizontal axis. For total JCH4 and JCO, the curves from all models except the two-phase model are almost the same.
Current usage metrics show cumulative count of Article Views (full-text article views including HTML views, PDF and ePub downloads, according to the available data) and Abstracts Views on Vision4Press platform.
Data correspond to usage on the plateform after 2015. The current usage metrics is available 48-96 hours after online publication and is updated daily on week days.
Initial download of the metrics may take a while.