Free Access
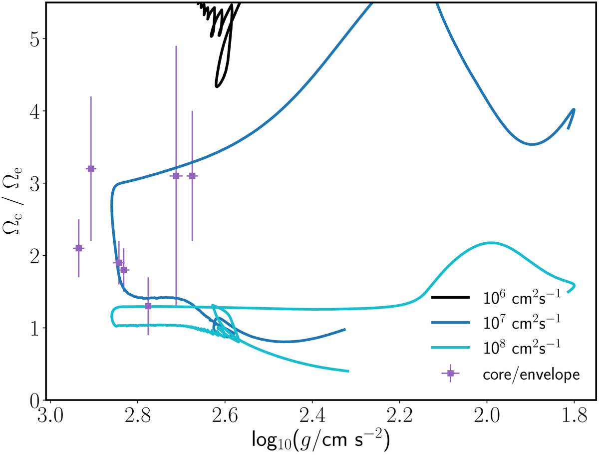
Fig. 2.

Determining the νadd. The ratio of core to surface rotation rate as a function of surface gravity for three models calculated with an initial rotational velocity of 50 km s−1, while the νadd is varied. The data points are from Deheuvels et al. (2015).
Current usage metrics show cumulative count of Article Views (full-text article views including HTML views, PDF and ePub downloads, according to the available data) and Abstracts Views on Vision4Press platform.
Data correspond to usage on the plateform after 2015. The current usage metrics is available 48-96 hours after online publication and is updated daily on week days.
Initial download of the metrics may take a while.