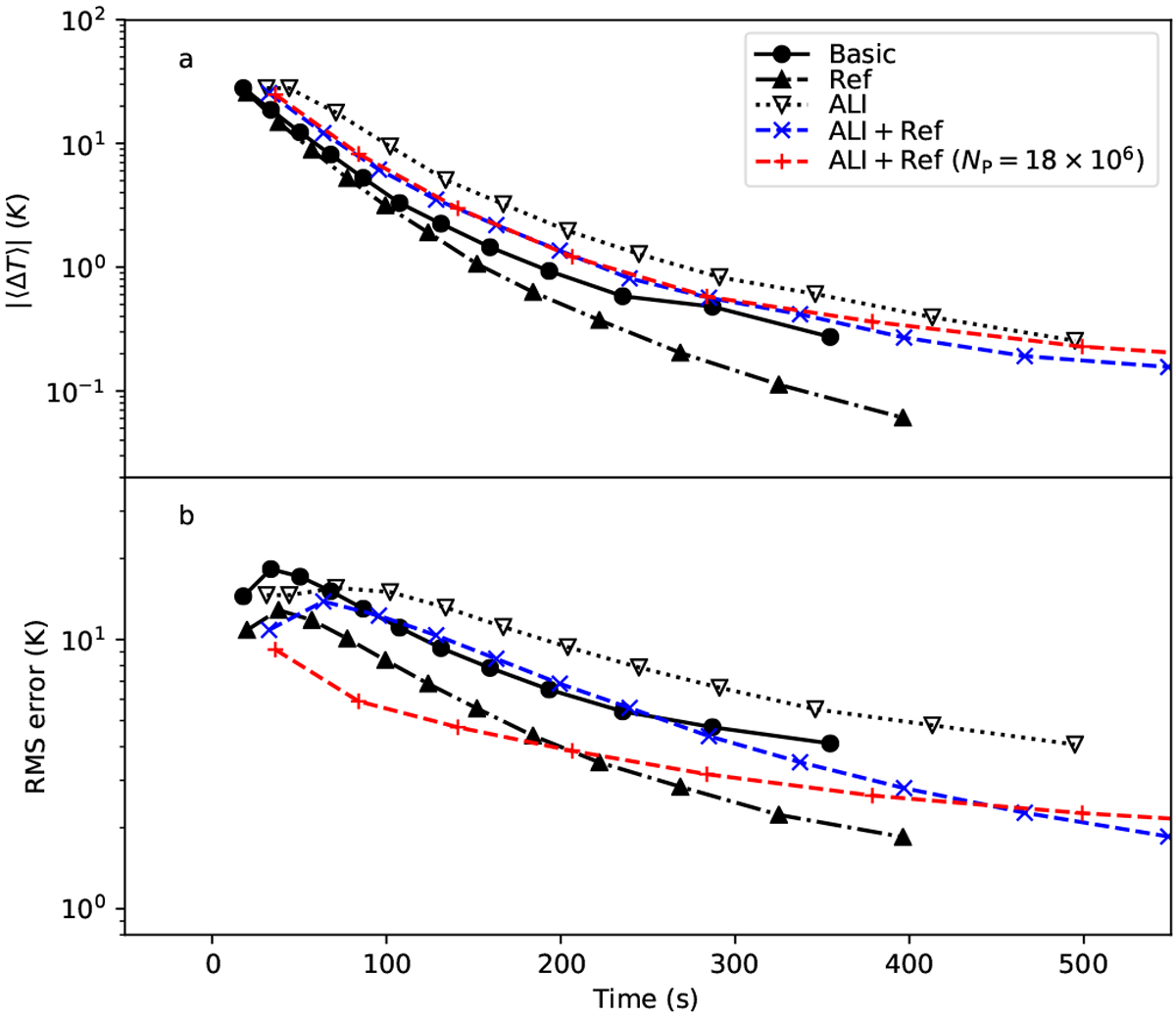
Fig. 10

Convergence and rms errors of temperatures in runs where the number of photon packages nP is increased by a factor of 200 over the iterations. The final iterations use 18 million photon packages per frequency. Results are shown for different combinations of ALI and reference field methods, as indicated in panel a. For reference, the red curves show the results for the constant nP of 18 million photon packages per iteration. Markers are drawn for every second iteration.
Current usage metrics show cumulative count of Article Views (full-text article views including HTML views, PDF and ePub downloads, according to the available data) and Abstracts Views on Vision4Press platform.
Data correspond to usage on the plateform after 2015. The current usage metrics is available 48-96 hours after online publication and is updated daily on week days.
Initial download of the metrics may take a while.