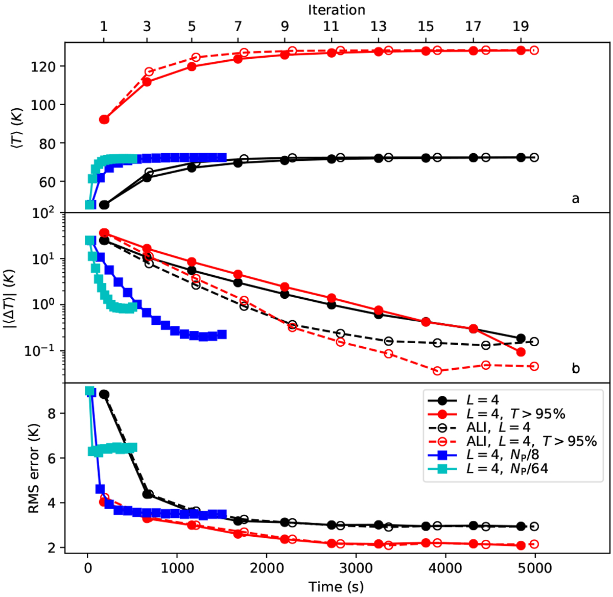
Fig. 6

Convergence of dust temperature values as a function of iterations and the run time on CPU. Temperatures are from the cells on the finest level of refinement of a model with nL = 4. Panel a: average temperature for basic runs (solid lines) and for ALI runs (dashed lines and open symbols). The black line is the average for all cells on the level L = 4 and the red curve is for 5% of the cells with the highest temperatures. The blue and cyan curves correspond to the average of all L = 4 cells in runs with a reduced number of photon packages nP. Panel b: errors relative to a run with 40 iterations and without ALI. Panel c: rms errors for L = 4 cells calculated as the standard deviation between two independent runs.
Current usage metrics show cumulative count of Article Views (full-text article views including HTML views, PDF and ePub downloads, according to the available data) and Abstracts Views on Vision4Press platform.
Data correspond to usage on the plateform after 2015. The current usage metrics is available 48-96 hours after online publication and is updated daily on week days.
Initial download of the metrics may take a while.