Free Access
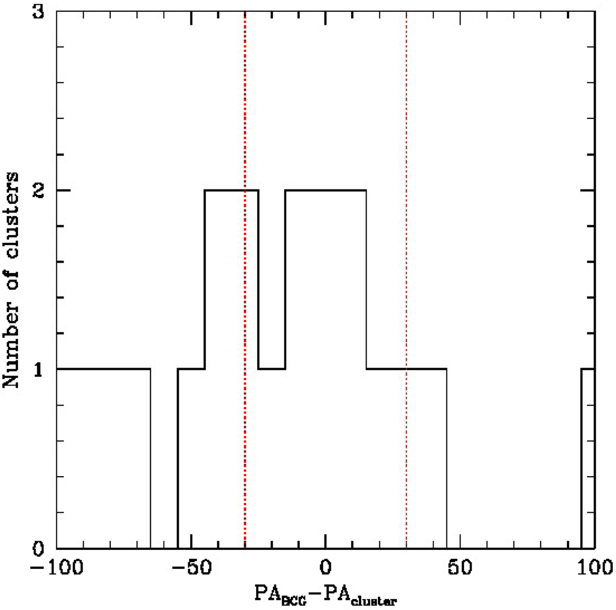
Fig. 3.

Histogram of the differences between the PA of the BCG and that of the LSS (or that of the cluster for the three clusters with PAcluster given in Table 4) for the objects with well defined BCG and large-scale structure PAs. The red lines show the limits of ±30 deg within which the PAs are considered to be compatible.
Current usage metrics show cumulative count of Article Views (full-text article views including HTML views, PDF and ePub downloads, according to the available data) and Abstracts Views on Vision4Press platform.
Data correspond to usage on the plateform after 2015. The current usage metrics is available 48-96 hours after online publication and is updated daily on week days.
Initial download of the metrics may take a while.