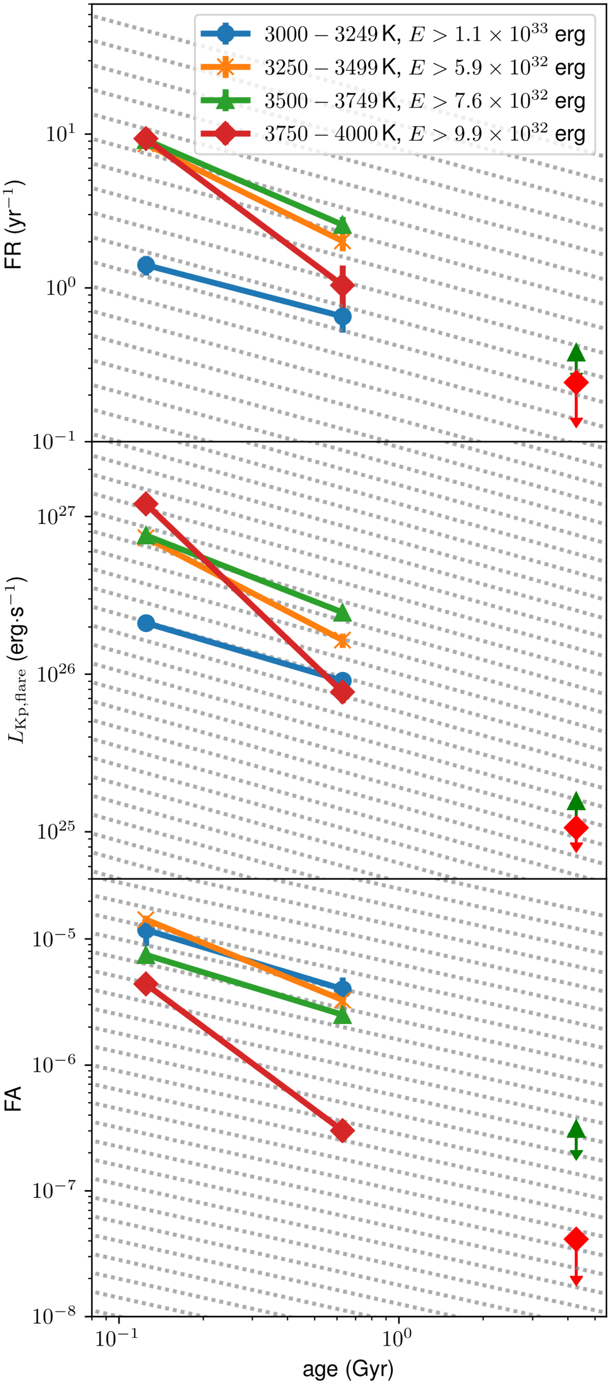
Fig. 7.

Age dependent activity indicators. Colour and line shapes distinguish different Teff bins. Detection thresholds are derived from synthetic flare injections and averaged in each bin. For M 67, available upper limits are given with arrows. The highest energy we detect is ∼6 × 1034 erg. Top panel: flare rate FR; centre: absolute flare luminosity in the Kepler band LKp, flare. Bottom panel: flaring activity FA (see definitions in Sect. 4.2). Grey dotted lines indicate the Skumanich age−1/2 law for comparison.
Current usage metrics show cumulative count of Article Views (full-text article views including HTML views, PDF and ePub downloads, according to the available data) and Abstracts Views on Vision4Press platform.
Data correspond to usage on the plateform after 2015. The current usage metrics is available 48-96 hours after online publication and is updated daily on week days.
Initial download of the metrics may take a while.