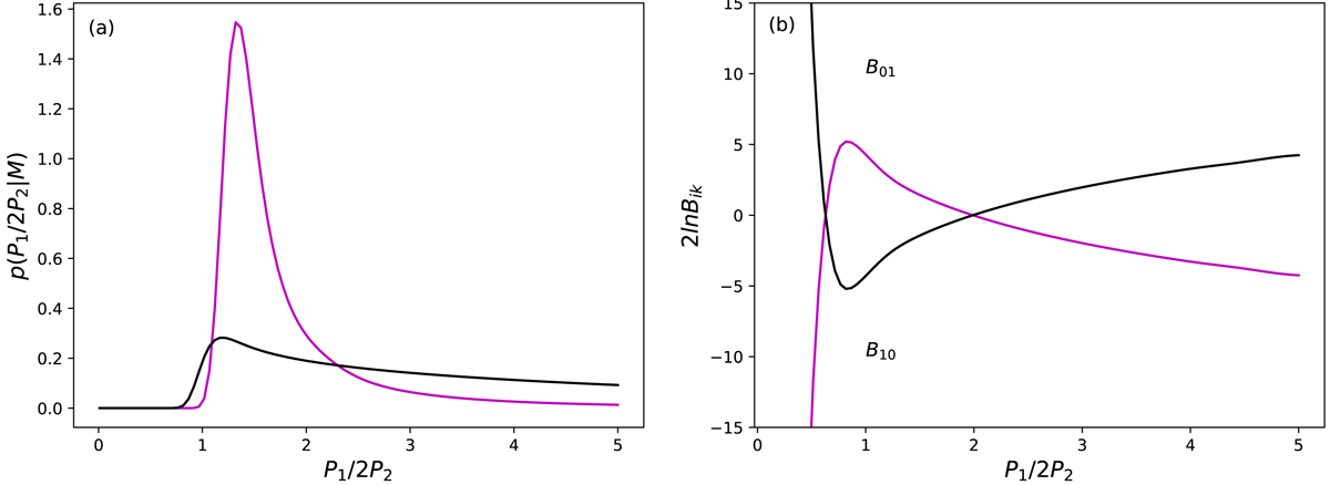
Fig. 13.

Panel a: marginal likelihoods for long and short thread limits. P1/2P2 ∈ (0, 5] with associated uncertainties of 10%. Panel b: Bayes factors as a function of the ratio of the fundamental kink mode period to twice the first overtone period. An uncertainty of 10% has been assumed. Subscripts 0 and 1 correspond to long and short thread limits, respectively.
Current usage metrics show cumulative count of Article Views (full-text article views including HTML views, PDF and ePub downloads, according to the available data) and Abstracts Views on Vision4Press platform.
Data correspond to usage on the plateform after 2015. The current usage metrics is available 48-96 hours after online publication and is updated daily on week days.
Initial download of the metrics may take a while.