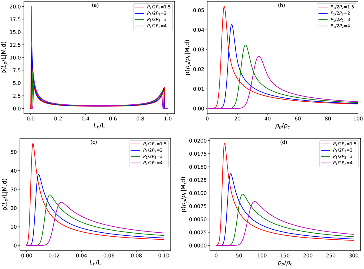
Fig. 7.

Posterior distributions of the thread length (Lp/L) and the density contrast (ρp/ρc) for several values of the period ratio (P1/2P2) with an associated uncertainty of 10%. Top panels correspond to using Eq. (17) with Lp/L ∈ [0, 1] and ρp/ρc ∈ [1.1, 100]. Bottom panels: results of considering short thread limit using the same equation as top panels with Lp/L ∈ [0, 0.1] and ρp/ρc ∈ [1.1, 300].
Current usage metrics show cumulative count of Article Views (full-text article views including HTML views, PDF and ePub downloads, according to the available data) and Abstracts Views on Vision4Press platform.
Data correspond to usage on the plateform after 2015. The current usage metrics is available 48-96 hours after online publication and is updated daily on week days.
Initial download of the metrics may take a while.