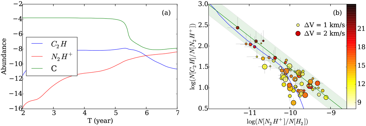
Fig. 6

Panel a: time evolution of species according to the result of gas-grain chemical model. Panel b: relation between abundances of N2H+ and N[C2H]/N[N2H+]. The color of each dot represents according CO excitation temperature, and dot-size represents column density of H2 induced from 13CO (NCO (H2)). The green line represents the center line of the green band. The blue line shows the result of the gas-grain chemical model.
Current usage metrics show cumulative count of Article Views (full-text article views including HTML views, PDF and ePub downloads, according to the available data) and Abstracts Views on Vision4Press platform.
Data correspond to usage on the plateform after 2015. The current usage metrics is available 48-96 hours after online publication and is updated daily on week days.
Initial download of the metrics may take a while.