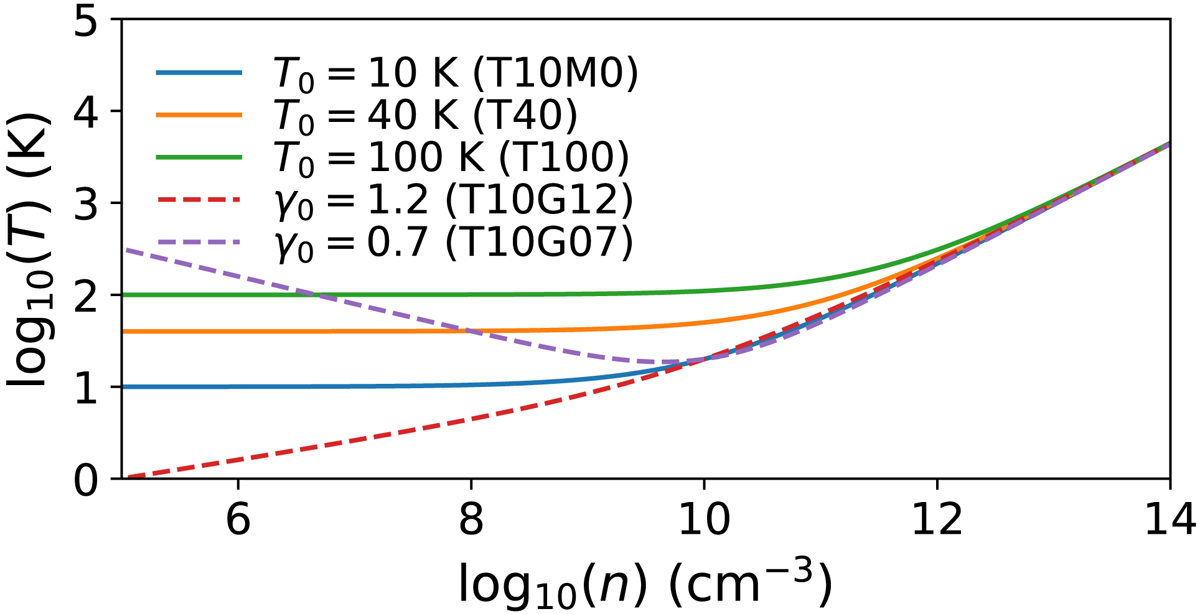
Fig. 1.

Equation of state plotted in temperature as a function of gas number density, as listed in Table 1. Either the isothermal bulk temperature, T0 (solid curves), or the polytropic index, γ0 (dashed curves), is varied. The varied parameter and the corresponding run label are shown in the legend. With the purpose to understand the effects of temperature in low-density gas on the fragmentation outcome, the high-density end of all EOS is chosen to coincide.
Current usage metrics show cumulative count of Article Views (full-text article views including HTML views, PDF and ePub downloads, according to the available data) and Abstracts Views on Vision4Press platform.
Data correspond to usage on the plateform after 2015. The current usage metrics is available 48-96 hours after online publication and is updated daily on week days.
Initial download of the metrics may take a while.