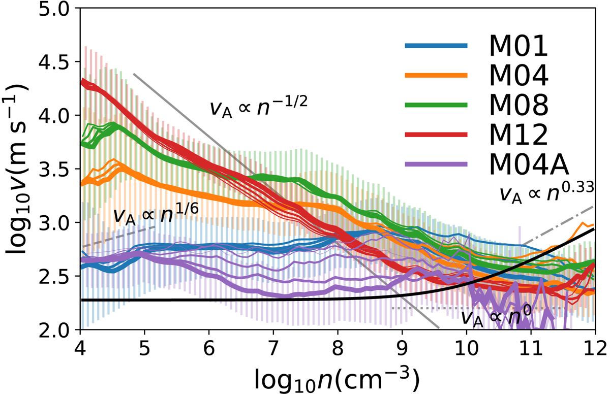
Fig. 8.

Averaged Alfvén velocity against density from runs M01, M04, M08, M12, and M04A, in blue, orange, green, red, and purple. The same time step as in Fig. 4 and plotted with line width that decreases with increasing in time. Log standard deviations are shown with shades. The thermal sound speed is plotted in black for comparison. The relations vA ∝ n1/6 (dashed), vA ∝ n−1/2 (plain), vA ∝ n0 (dotted), and vA ∝ n0.33 (dot-dashed) are plotted for reference.
Current usage metrics show cumulative count of Article Views (full-text article views including HTML views, PDF and ePub downloads, according to the available data) and Abstracts Views on Vision4Press platform.
Data correspond to usage on the plateform after 2015. The current usage metrics is available 48-96 hours after online publication and is updated daily on week days.
Initial download of the metrics may take a while.