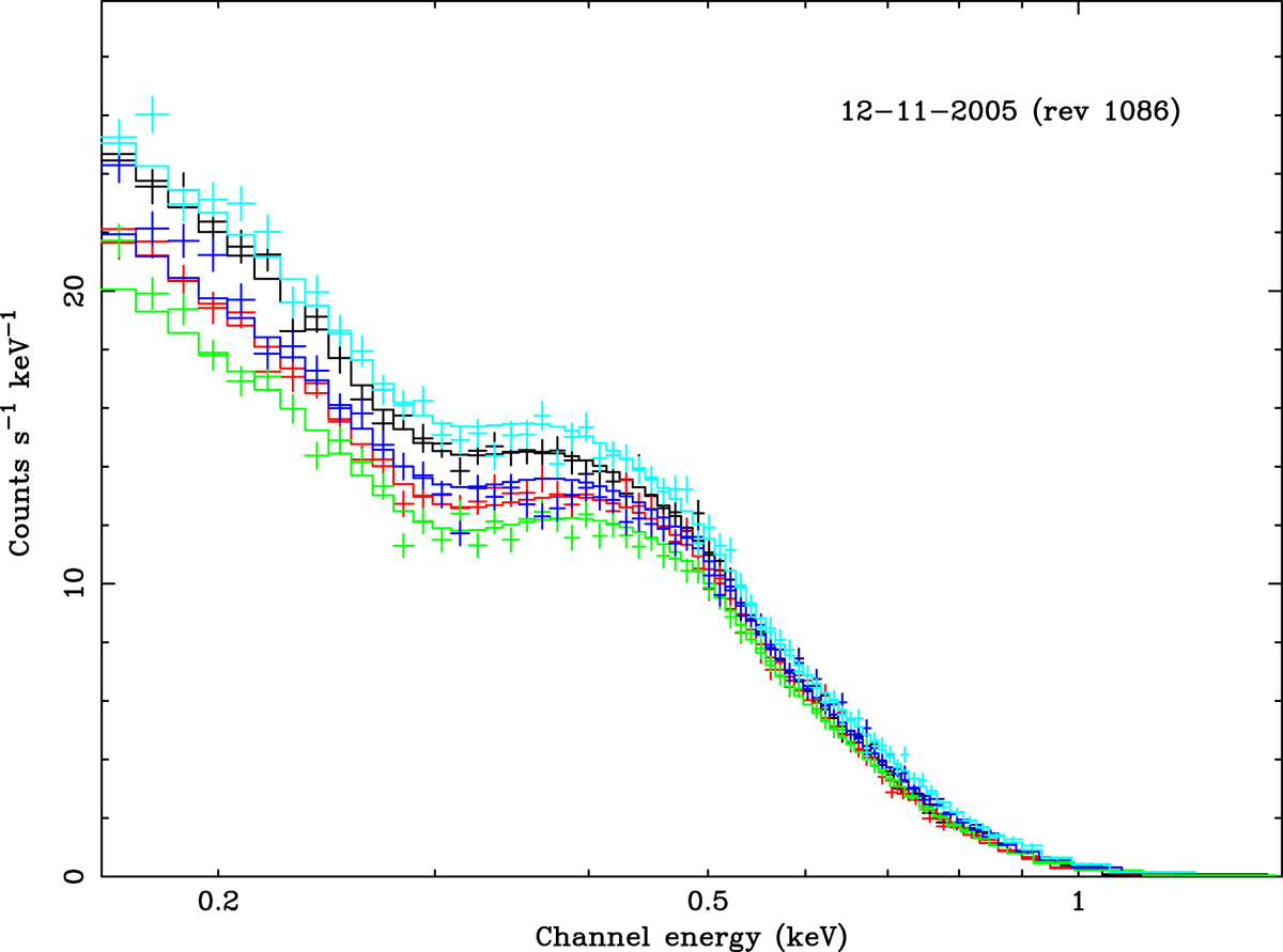
Fig. 15.

Pulse phase resolved EPIC-pn spectra of RX J0720.4-3125 observed by XMM-Newton: a reproduction of Fig. 5 of Haberl (2007), showing an absorption feature around 300 eV, which is interpreted as a proton cyclotron line produced in a magnetic field of about 5.6 × 1013 Gauss. The different colors give the spectra for different pulse phase intervals: 0.0–0.2: black, 0.2–0.4: red, 0.4–0.6: green, 0.6–0.8: blue, and 0.8–1.0: light blue.
Current usage metrics show cumulative count of Article Views (full-text article views including HTML views, PDF and ePub downloads, according to the available data) and Abstracts Views on Vision4Press platform.
Data correspond to usage on the plateform after 2015. The current usage metrics is available 48-96 hours after online publication and is updated daily on week days.
Initial download of the metrics may take a while.