Free Access
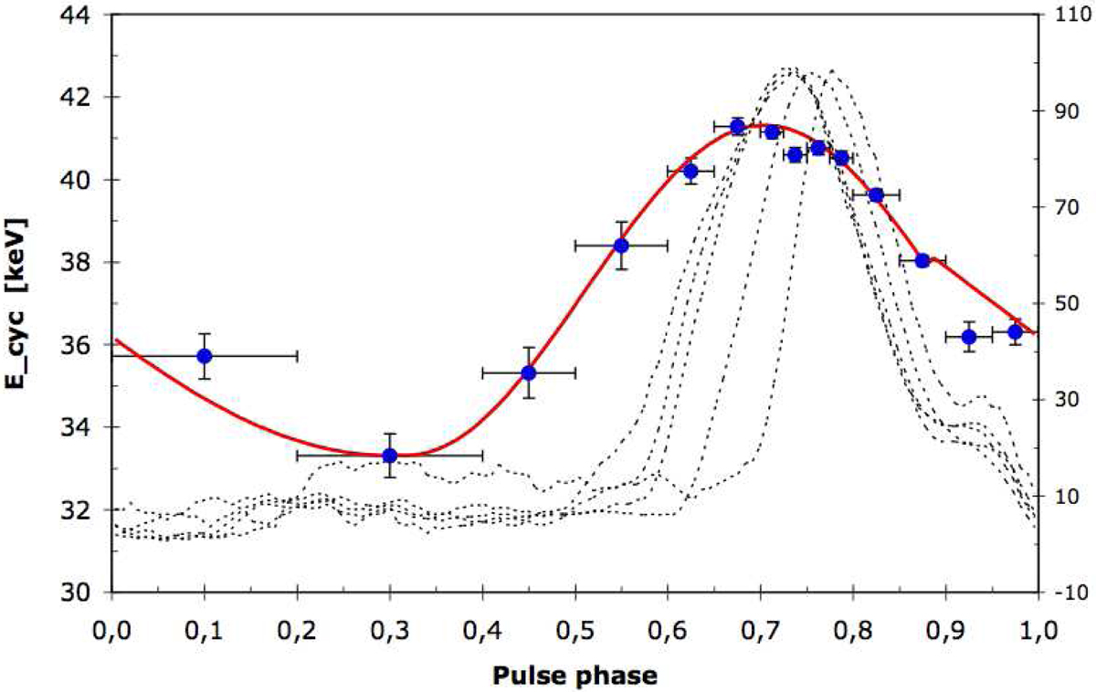
Fig. 4.

Dependence of cyclotron line energy on pulse phase for Her X-1 together with pulse profiles for different phases of the 35 d modulation (see Fig. 2 of Staubert et al. 2014). The right-hand scale is normalized flux (0–100) for the pulse profiles.
Current usage metrics show cumulative count of Article Views (full-text article views including HTML views, PDF and ePub downloads, according to the available data) and Abstracts Views on Vision4Press platform.
Data correspond to usage on the plateform after 2015. The current usage metrics is available 48-96 hours after online publication and is updated daily on week days.
Initial download of the metrics may take a while.