Free Access
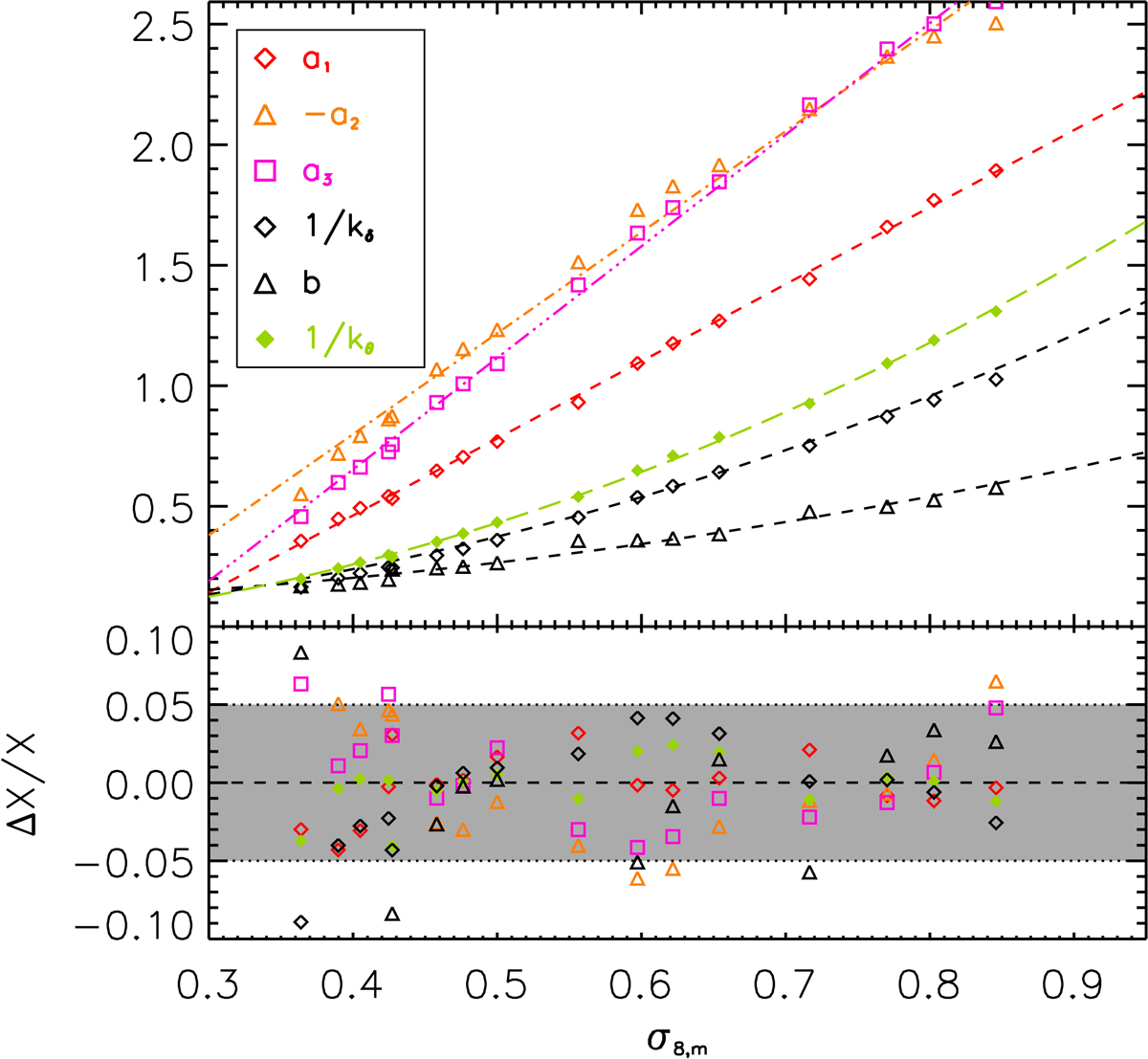
Fig. 5.

Top panel: dependence of the fitting parameters kδ, b, kθ, a1, a2 and a3 on the total matter clustering amplitude σ8,m at each redshift, in the corresponding simulation (symbols). Lines are showing the fit of the dependance. Bottom panel: residual between the fitted σ8,m dependance and the measured one.
Current usage metrics show cumulative count of Article Views (full-text article views including HTML views, PDF and ePub downloads, according to the available data) and Abstracts Views on Vision4Press platform.
Data correspond to usage on the plateform after 2015. The current usage metrics is available 48-96 hours after online publication and is updated daily on week days.
Initial download of the metrics may take a while.