Free Access
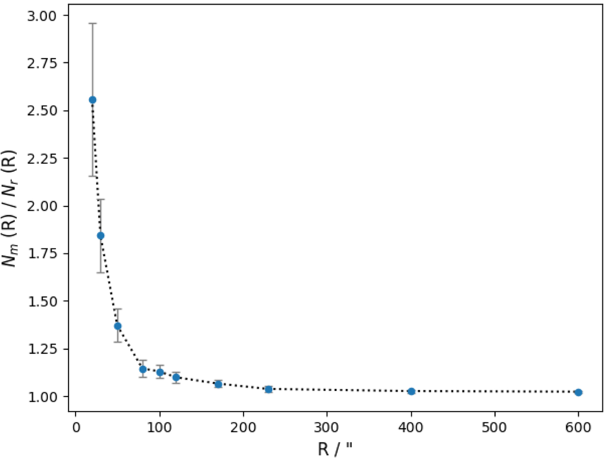
Fig. 12.

Ratio between the number of matches found (Nm(R)), after cross-matching the full high-z subsample of 2828 H-ATLAS sources with a sample of 1 776 242 known-redshift galaxies from SDSS DR14, and the number of matches expected (Nr(R)) from a random distribution (Eq. (7)) for different aperture radii R around the SDSS sources.
Current usage metrics show cumulative count of Article Views (full-text article views including HTML views, PDF and ePub downloads, according to the available data) and Abstracts Views on Vision4Press platform.
Data correspond to usage on the plateform after 2015. The current usage metrics is available 48-96 hours after online publication and is updated daily on week days.
Initial download of the metrics may take a while.