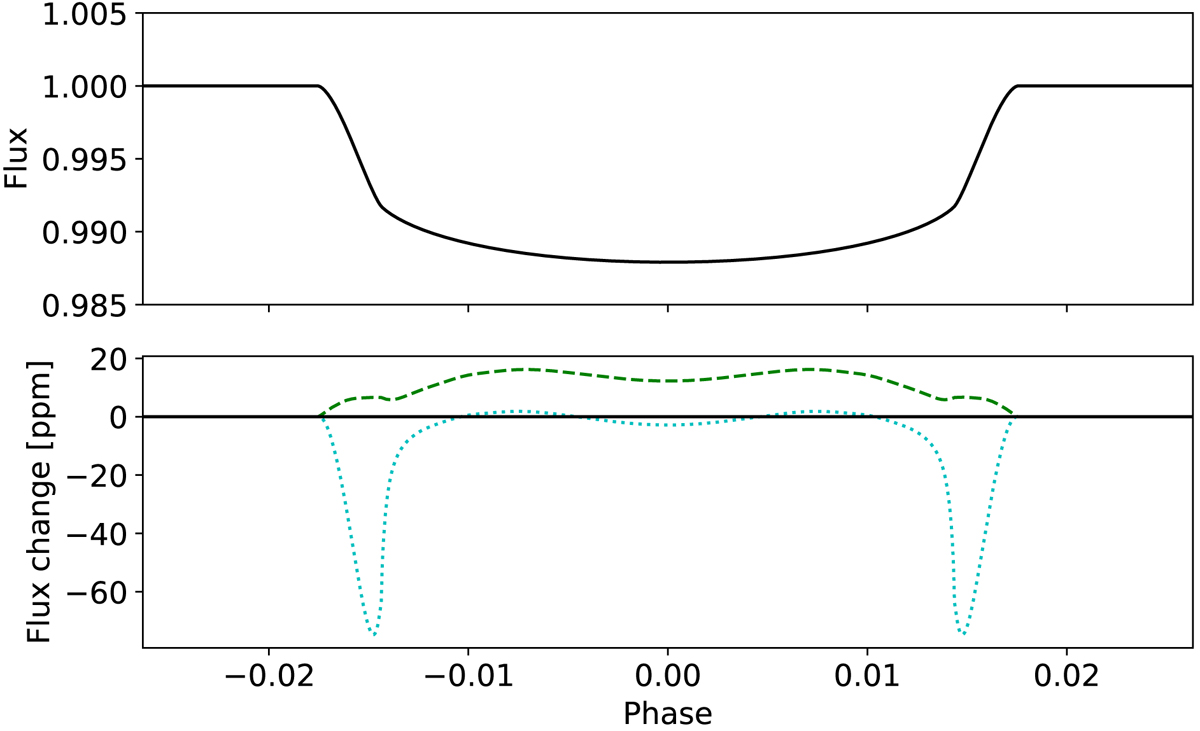
Fig. 3.

Upper panel: light curve computed using the ellc light curve model with a limb darkening profile from the STAGGER-grid for Teff = 6000 K, log g = 4.5, [Fe/H] = 0. The parameters for this light curve are r⋆ = 0.05, p = 0.1 and b = 0. Lower panel: difference between light curves computed with the “sparse” numerical grid option in ellc and the power-2 limb darkening law (dashed green line) or with the qpower2 algorithm (dotted cyan line) and the light curve shown in the upper panel. The power-2 and qpower2 light curves were calculated using the same parameters as in the upper panel.
Current usage metrics show cumulative count of Article Views (full-text article views including HTML views, PDF and ePub downloads, according to the available data) and Abstracts Views on Vision4Press platform.
Data correspond to usage on the plateform after 2015. The current usage metrics is available 48-96 hours after online publication and is updated daily on week days.
Initial download of the metrics may take a while.