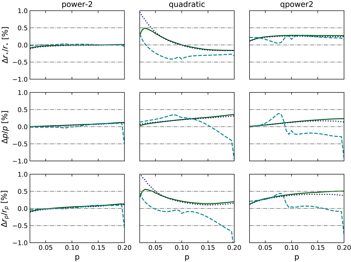
Fig. 4.

Errors in selected light curve parameters from least-squares fits to light curves generated from limb darkening profiles from the STAGGER-grid, as a function of radius ratio, p, for three different algorithms. From left to right panels: ellc light curve model with the power-2 limb-darkening law; Mandel & Agol algorithm for the quadratic limb-darkening law; qpower2 algorithm. Results are shown for three values of the impact parameter, as follows: b = 0.3 – solid green line, b = 0.6 – dotted blue line, b = 0.9 – dashed cyan line.
Current usage metrics show cumulative count of Article Views (full-text article views including HTML views, PDF and ePub downloads, according to the available data) and Abstracts Views on Vision4Press platform.
Data correspond to usage on the plateform after 2015. The current usage metrics is available 48-96 hours after online publication and is updated daily on week days.
Initial download of the metrics may take a while.