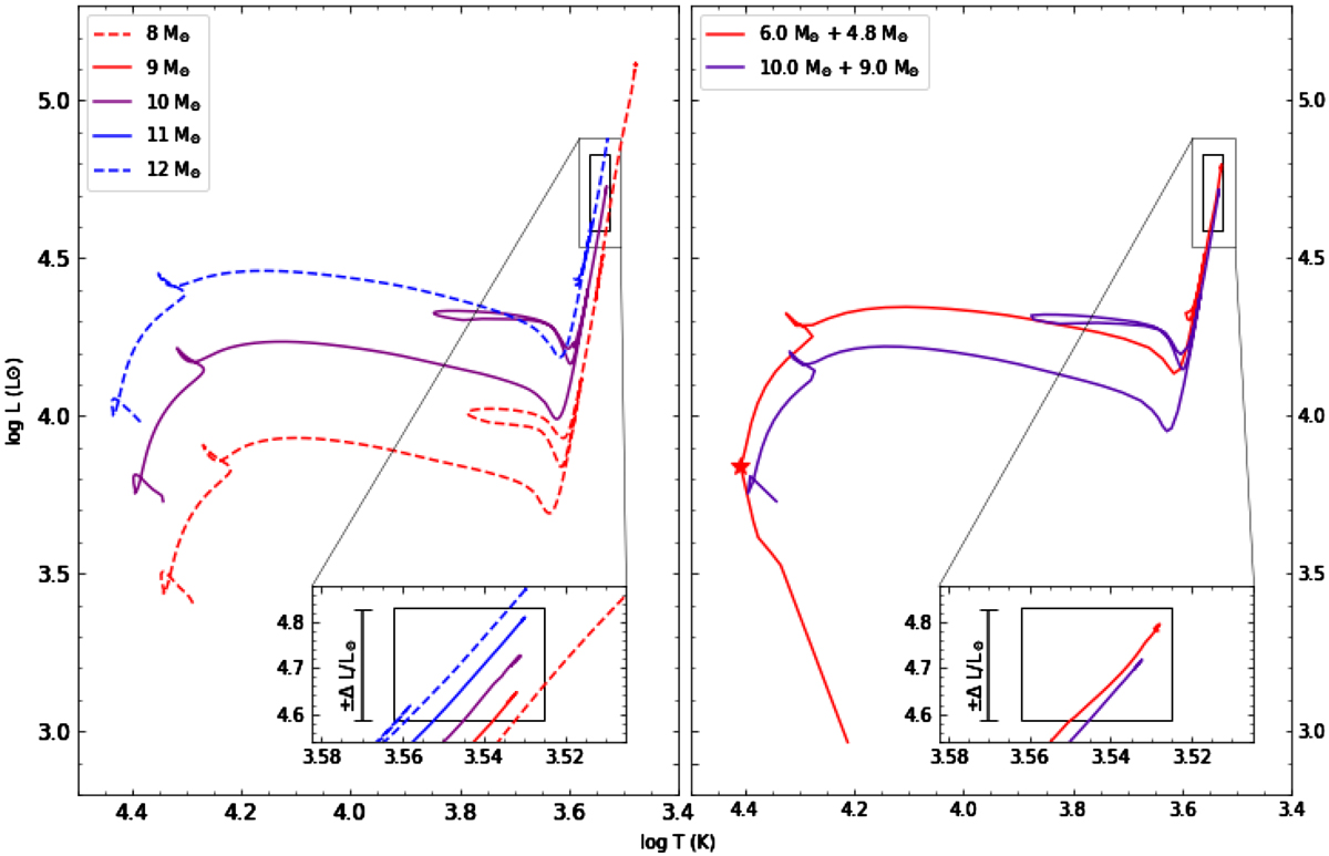
Fig. 4.

Evolutionary tracks computed at solar metallicity (Z = 0.02) and selected to satisfy the inferred temperature and luminosity of progenitor as described in Sect. 5 and delineated by the box. Left panel: single star models from the STARS code. 9−11 M⊙ models matched the progenitor properties at its endpoint. The 8 M⊙ and 12 M⊙ tracks are shown for comparison. The inset shows a zoom-in of a finer grid of models with masses as indicated in the legend. Right panel: evolutionary tracks resulting from binary evolution computed using the BPASS code. In total, 253 tracks matched the progenitor properties. These had primary stars in the mass range 6−10 M⊙, and 50% had a 10 M⊙ primary. Shown here is a 10 M⊙ primary with a 9 M⊙ secondary on a long period orbit (∼4000 d) with little interaction (blue) and an early merger between stars in a small orbit(∼10 d), which initially consisted of a 6 M⊙ primary and 4.8 M⊙ secondary resulting in a star with a mass between 10 M⊙ and 11 M⊙ (red). The red star indicates the position on the isochrone at which the merger was completed.
Current usage metrics show cumulative count of Article Views (full-text article views including HTML views, PDF and ePub downloads, according to the available data) and Abstracts Views on Vision4Press platform.
Data correspond to usage on the plateform after 2015. The current usage metrics is available 48-96 hours after online publication and is updated daily on week days.
Initial download of the metrics may take a while.