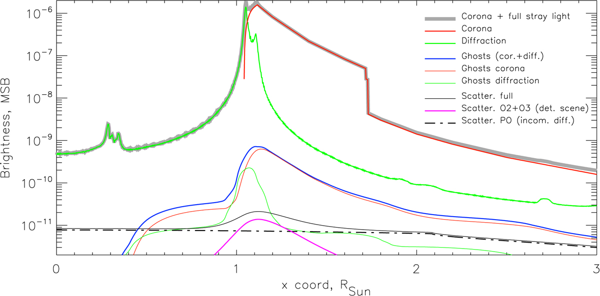
Fig. 12.

Radial profiles of the intensity of the coronal light, the diffraction, ghost, and scattered light contributions. The thick red line corresponds to the corona, the thick green line corresponds to the diffraction, and the thick gray line corresponds to the full signal on the detector. The dark blue line represents ghosts of the full image, and the thin red and green lines are contributions due to coronal ghosts and diffracted light ghosts. The thin black line shows full scattering light, and the dot-dashed line and magenta line show contribution from the primary objective (dot-dashed) and the O2 and O3 lenses (magenta line).
Current usage metrics show cumulative count of Article Views (full-text article views including HTML views, PDF and ePub downloads, according to the available data) and Abstracts Views on Vision4Press platform.
Data correspond to usage on the plateform after 2015. The current usage metrics is available 48-96 hours after online publication and is updated daily on week days.
Initial download of the metrics may take a while.