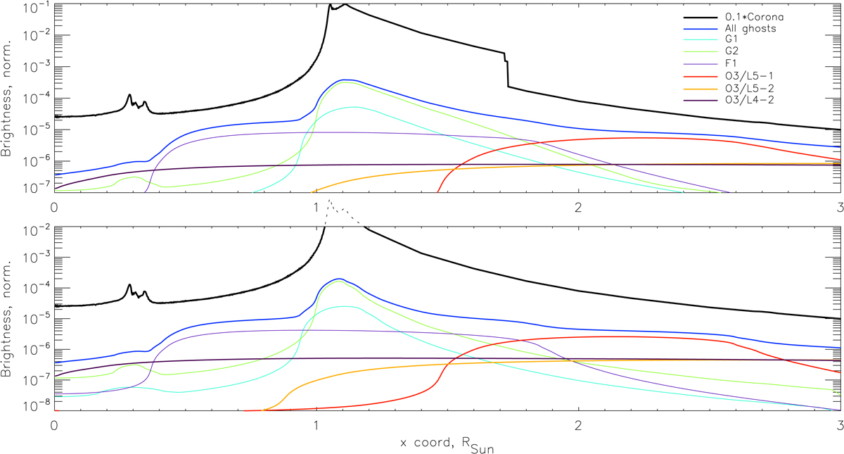
Fig. 8.

Radial profiles of the intensity of the synthetic coronal image and various ghost contributions. Upper panel: westward equatorial direction in Fig. 7a that crosses the equatorial streamer and the quiet Sun region, lower panel: northward equatorial direction in Fig. 7a that crosses a polar quiet-Sun region. In both panels black solid lines show the corona and diffraction (intensity is divided by 10), dark blue lines show the sum of all ghost contribution, and other colored lines show contributions from various optical surfaces.
Current usage metrics show cumulative count of Article Views (full-text article views including HTML views, PDF and ePub downloads, according to the available data) and Abstracts Views on Vision4Press platform.
Data correspond to usage on the plateform after 2015. The current usage metrics is available 48-96 hours after online publication and is updated daily on week days.
Initial download of the metrics may take a while.