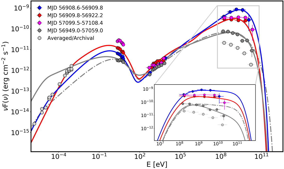
Fig. 3.

SEDs of PKS 0502+049 during the IceCube observational window (P0; gray) and active states P1 (blue), P2 (red), and P3 (magenta). The averaged γ-ray spectrum during the considered nine years and the archival low energy data from ASI science data center are shown in light gray. Gray, blue, and red solid lines show the models when inverse Compton scattering of synchrotron (SSC) and torus (EIC) photons are considered, while the gray dot-dashed line is the fitting only with the SSC component. The model fit parameters are given in Table 3. The inset shows the γ-ray spectra from pp interactions where the solid lines are the modeling when the cut-off energy in the proton spectrum is fixed to 10 PeV and the gray dot-dashed line is the case when the hard spectrum of protons is considered. The axes are the same as in the main plot. All models have been corrected for γγ absorption by the extragalactic background light using the model of Domínguez et al. (2011).
Current usage metrics show cumulative count of Article Views (full-text article views including HTML views, PDF and ePub downloads, according to the available data) and Abstracts Views on Vision4Press platform.
Data correspond to usage on the plateform after 2015. The current usage metrics is available 48-96 hours after online publication and is updated daily on week days.
Initial download of the metrics may take a while.