Open Access
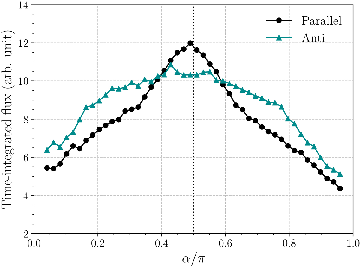
Fig. 10.

Angular distribution of the light-curve signal during the inspiral phase in the two configurations. Time integration ran from the start of the merger until the end of the pulse. The dotted line marks the equator αobs = π/2.
Current usage metrics show cumulative count of Article Views (full-text article views including HTML views, PDF and ePub downloads, according to the available data) and Abstracts Views on Vision4Press platform.
Data correspond to usage on the plateform after 2015. The current usage metrics is available 48-96 hours after online publication and is updated daily on week days.
Initial download of the metrics may take a while.