Free Access
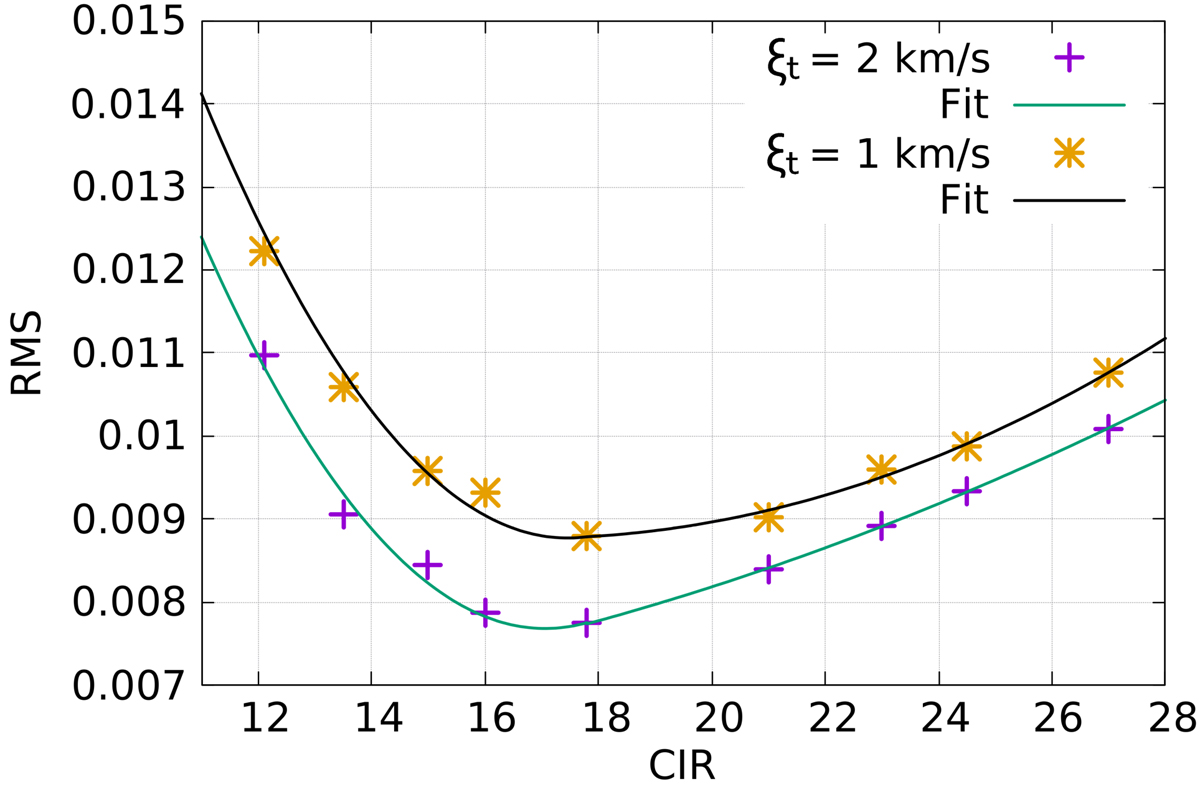
Fig. 5.

rms between synthesized spectra from MOOG vs. CIR with the use of MARCS models (see text) with ξt = 1.0 km s−1and ξt = 2.0 km s−1, respectively.
Current usage metrics show cumulative count of Article Views (full-text article views including HTML views, PDF and ePub downloads, according to the available data) and Abstracts Views on Vision4Press platform.
Data correspond to usage on the plateform after 2015. The current usage metrics is available 48-96 hours after online publication and is updated daily on week days.
Initial download of the metrics may take a while.