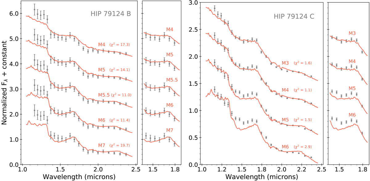
Fig. 5.

Spectral fits of the B (left panel) and C (right panel) companions to the old population (∼10 Myr) of standard spectra from Luhman et al. (2017). Our companions have been corrected for reddening assuming the same extinction as the primary star (see Sect. 3.1). To compute the χ2 per degree of freedom, we refrain from using spectral regions affected by tellurics. The panels on the right of each B and C comparison is an H-band zoom-in, which is more affected by the gravity of the object.
Current usage metrics show cumulative count of Article Views (full-text article views including HTML views, PDF and ePub downloads, according to the available data) and Abstracts Views on Vision4Press platform.
Data correspond to usage on the plateform after 2015. The current usage metrics is available 48-96 hours after online publication and is updated daily on week days.
Initial download of the metrics may take a while.