Fig. 2.

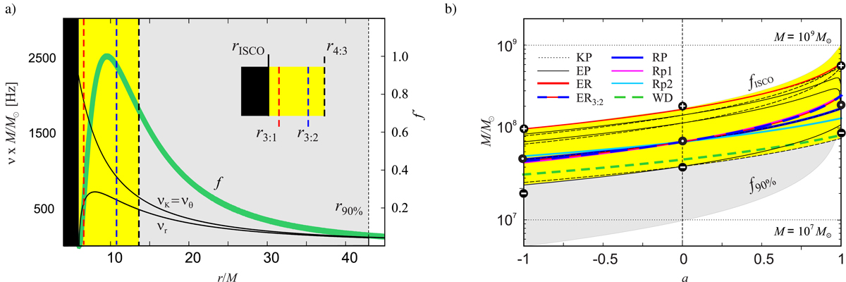
Panel a: radial profiles of the normalized disk flux (thin relativistic disk) and the Keplerian and epicyclic frequencies of geodesic orbital motion calculated for a Schwarzschild BH. The gray region between rISCO and r90% emphasizes the radial part of the disk that radiates more than 90% of the whole disk luminosity. Several particular resonant orbits are denoted. Indexes i and j in ri : j are chosen such that i/j = νθ/νr. Panel b: mass-spin relations inferred for XMMUJ134736.6+173403 from the observed QPO frequencies and their models in Kerr spacetimes. The solid and dashed black lines are drawn for the set of resonance models considered by Carpano & Jin (2018). The red line denotes the prediction of the ER model, while the blue line corresponds to the RP model. The dashed red-blue line denotes the consideration of the ER3 : 2 model. The gray region corresponds to the association of the QPO frequency with the Keplerian frequency at orbits inside a part of the disk that radiates more than 90% of the whole disk luminosity. The lower boundary of the gray region corresponds to r90% , while the upper boundary corresponds to rISCO. The yellow region emphasizes the range covered by the assumed QPO models. The nine spots denote boundaries of relation (5) for a ∈ [ − 1, 1].
Current usage metrics show cumulative count of Article Views (full-text article views including HTML views, PDF and ePub downloads, according to the available data) and Abstracts Views on Vision4Press platform.
Data correspond to usage on the plateform after 2015. The current usage metrics is available 48-96 hours after online publication and is updated daily on week days.
Initial download of the metrics may take a while.