Free Access
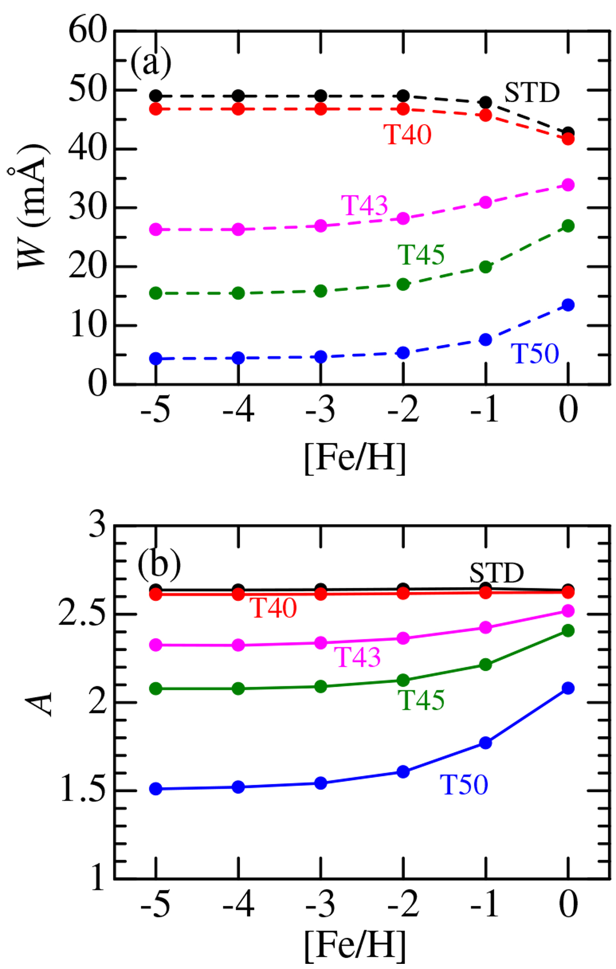
Fig. 4

Panel a: NLTE equivalent widths of Li I 6708 line (W; computed for given primordial lithium abundance of 2.64 for each of the five models) plotted against [Fe/H]. Panel b: NLTE Li abundances (A; inversely obtained from each model’s W by using thestandard procedure of STD model) plotted against [Fe/H].
Current usage metrics show cumulative count of Article Views (full-text article views including HTML views, PDF and ePub downloads, according to the available data) and Abstracts Views on Vision4Press platform.
Data correspond to usage on the plateform after 2015. The current usage metrics is available 48-96 hours after online publication and is updated daily on week days.
Initial download of the metrics may take a while.