Table 4.
Best-fit values for the parameters of the global model (one planet on a circular orbit + stellar activity) selected as explained in Sect. 5.
Parameter | Value | Prior |
---|---|---|
(planet) | ||
Kb ( m s−1) | ![]() |
![]() |
Pb (days) | ![]() |
![]() |
T0,b (BJD-2450000) | ![]() |
![]() |
e | 0 (fixed) | – |
(hyper)parameter | Value | Prior |
(stellar activity) | ||
h HARPS ( m s−1) | ![]() |
![]() |
h HIRES ( m s−1) | ![]() |
![]() |
λ (days) | ![]() |
logλ ![]() |
w | ![]() |
![]() |
θ (days) | ![]() |
![]() |
offset_HARPS-N ( m s−1) | ![]() |
![]() |
σjitter,HARPS-N ( m s−1) | ![]() |
![]() |
offset_HARPS ( m s−1) | ![]() |
![]() |
σjitter,HARPS ( m s−1) | ![]() |
![]() |
offset_HIRES ( m s−1) | ![]() |
![]() |
σjitter,HIRES ( m s−1) | ![]() |
![]() |
Derived quantities | ||
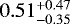
Mb sini (M⊕) | 7.1 ± 0.9 | |
ab (AU) | 0.091 ± 0.004 | |
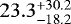
Teq, b (K) | 379![]() |
|
Notes.
The parameters are calculated as medians of the marginal posterior distributions, and the uncertainties represent their 16 and 84% quantiles, unless otherwise indicated. The priors used in our MC fitting are also shown. The difference
between theBayesian evidence for this model and the one for a “null” model not including a planet is
, which indicates decisive evidence in favor of the one-planet model according to Kass & Raftery (1995). For the “null” model we fitted the data only through a GP quasi-periodic regression, using the same priors for the hyper-parameters as for the one-planet model. The symbol
(⋅,⋅) denotes an uninformative prior with corresponding lower and upper limits. The equilibrium temperature
Teq,b was derived by assuming Bond albedo AB = 0.
Current usage metrics show cumulative count of Article Views (full-text article views including HTML views, PDF and ePub downloads, according to the available data) and Abstracts Views on Vision4Press platform.
Data correspond to usage on the plateform after 2015. The current usage metrics is available 48-96 hours after online publication and is updated daily on week days.
Initial download of the metrics may take a while.