Free Access

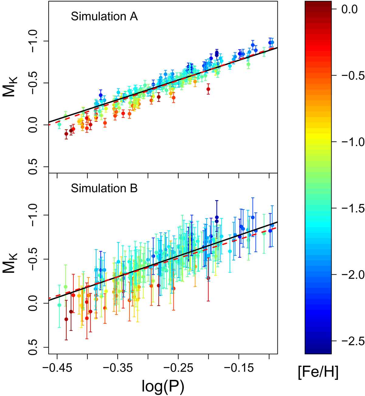
Fig. 6.

image

Comparison between inferred absolute magnitudes and true periods for validation sets A and B. The black solid and red dashed lines represent the projections of the PMKZ relation of Eq. (13) and the relation inferred by our HM (adopting the median value of the posterior distribution of each coefficient), respectively, for a value of the true metallicity equal to the median of the values generated according to the text. The colour encodes the metallicity according to the scale on the right.

Current usage metrics show cumulative count of Article Views (full-text article views including HTML views, PDF and ePub downloads, according to the available data) and Abstracts Views on Vision4Press platform.

Data correspond to usage on the plateform after 2015. The current usage metrics is available 48-96 hours after online publication and is updated daily on week days.

Initial download of the metrics may take a while.