Free Access

Fig. 11

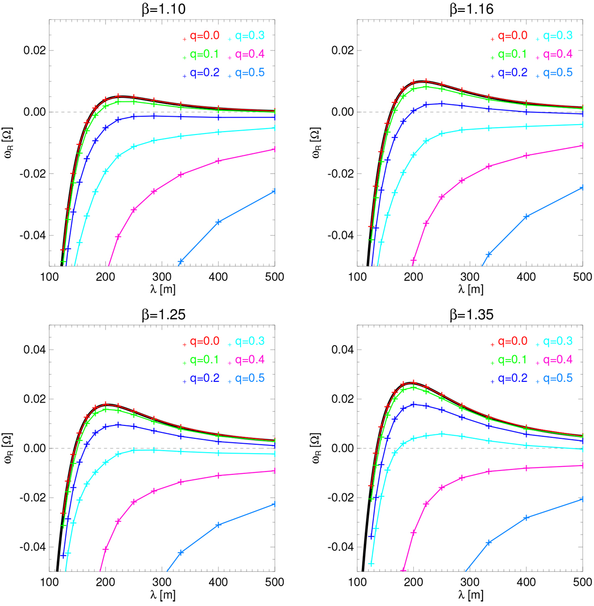
image

Linear hydrodynamic growth rates of overstable modes in a perturbed ring for different values of the nonlinearity parameter q describing the satellite perturbation. The wavelengths λ correspond to the uncompressed state of the model ring adopted at times t = ∕ΩL, with non-negative integer l (cf. Eq. (59)). The used parameters are the Pr76-parameters with varyingvalue of β and all growth rates are scaled with Ω = ΩL. In all panels the growth rates for q = 0, obtained by numerical solution of Eq. (14), are plotted additionally as black solid curves.

Current usage metrics show cumulative count of Article Views (full-text article views including HTML views, PDF and ePub downloads, according to the available data) and Abstracts Views on Vision4Press platform.

Data correspond to usage on the plateform after 2015. The current usage metrics is available 48-96 hours after online publication and is updated daily on week days.

Initial download of the metrics may take a while.