Free Access

Fig. 13

image

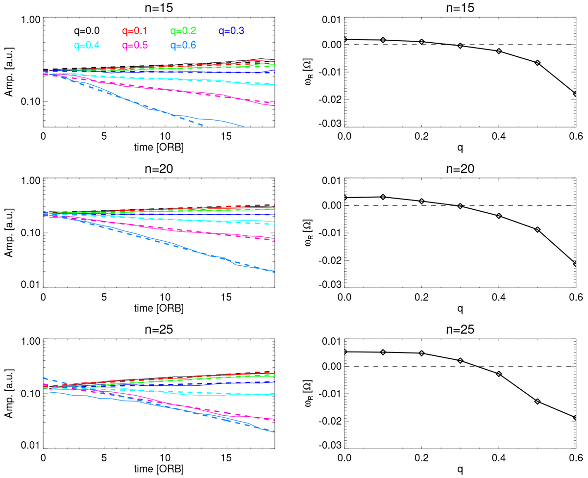
Determination of linear growth rates of three different seeded overstable modes (indicated by their radial mode number n) in N-body simulations for different values of the nonlinearity parameter q, quantifying the amount of perturbation in the ground state that corresponds to a density wave. Left panels: time evolution of amplitudes An (Eq. (66)) with a sampling interval of one orbital period. Right panels: resulting growth rates obtained from linear fits as drawn in the left frames. The simulations used time-averaged values of the ground state optical depth and surface mass density of τ0 = 1.5 and σ0 = 300 kg m−2, respectively, as well as a vertical frequency enhancement of Ωz∕Ω = 2 to mimic vertical self-gravity.

Current usage metrics show cumulative count of Article Views (full-text article views including HTML views, PDF and ePub downloads, according to the available data) and Abstracts Views on Vision4Press platform.

Data correspond to usage on the plateform after 2015. The current usage metrics is available 48-96 hours after online publication and is updated daily on week days.

Initial download of the metrics may take a while.