Free Access

Fig. 5.

image

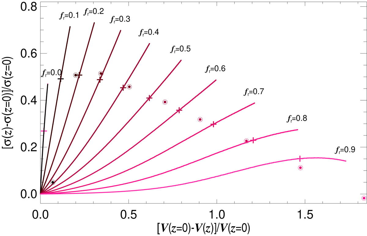
Toy models for the influence of asymmetric drift and retrograde thick-disc stars on the vertical velocity and velocity dispersion gradients at |z| = 3hzt. We use Eqs. (16) and (17) with vc = 1, ki = 1, σt = 0.2, assuming hzT/hzt = 1 − 4 and a fraction of retrograde stars fr = 0 − 0.9. The crosses indicate hzT/hzt = 3. Circles stand for the N-body simulation fits of Fig. 8 below. Relatively small retrograde fractions of fr = 0.1 − 0.2 cause lags of a few tens of per cent if the thin and the thick discs are well differenciated (i.e. hzT/hzt ≤ 3, as is the case for the galaxies in our sample).

Current usage metrics show cumulative count of Article Views (full-text article views including HTML views, PDF and ePub downloads, according to the available data) and Abstracts Views on Vision4Press platform.

Data correspond to usage on the plateform after 2015. The current usage metrics is available 48-96 hours after online publication and is updated daily on week days.

Initial download of the metrics may take a while.