Open Access

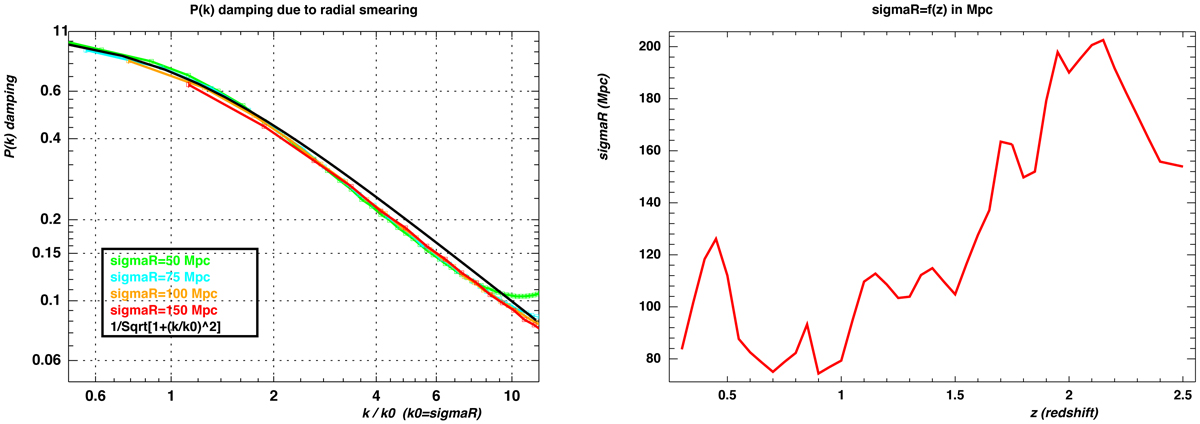
Fig. 13.

image

Left panel: damping function η(k) for four values of σR = 50, 75, 100, 150 Mpc (colour curves) and its analytical approximate shape in black. Right panel: value of the radial smearing σR computed from photo-z reconstruction dispersion (with BDT 90%) as a function of redshift.

Current usage metrics show cumulative count of Article Views (full-text article views including HTML views, PDF and ePub downloads, according to the available data) and Abstracts Views on Vision4Press platform.

Data correspond to usage on the plateform after 2015. The current usage metrics is available 48-96 hours after online publication and is updated daily on week days.

Initial download of the metrics may take a while.