Free Access

Fig. 2

image

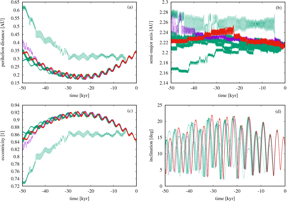
Behavior of perihelion distance (panel a), semi-major axis (panel b), eccentricity (panel c), and inclination to the ecliptic (panel d) of the initially nominal orbit of comet 2P/Encke, which is (violet curve) or is not (red curve) influenced by the non-gravitational force (jet effect). The evolution of the corresponding elements of the orbits of the second set of its clones (green curves), which delimit the uncertainty of non-gravitational parameters A1 and A2, are also shown. The evolution is reconstructed backward for 50 000 yr.

Current usage metrics show cumulative count of Article Views (full-text article views including HTML views, PDF and ePub downloads, according to the available data) and Abstracts Views on Vision4Press platform.

Data correspond to usage on the plateform after 2015. The current usage metrics is available 48-96 hours after online publication and is updated daily on week days.

Initial download of the metrics may take a while.