Free Access

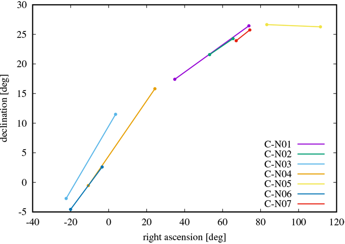
Fig. 6

image

Motion of the mean radiant of the parts of northern showers separated from the IAU-MDC CAMS database during the period of the activity. The equatorial coordinates of the mean radiant are approximated with the linear functions of time.

Current usage metrics show cumulative count of Article Views (full-text article views including HTML views, PDF and ePub downloads, according to the available data) and Abstracts Views on Vision4Press platform.

Data correspond to usage on the plateform after 2015. The current usage metrics is available 48-96 hours after online publication and is updated daily on week days.

Initial download of the metrics may take a while.